轻松弄懂变压器差动保护里的星转角(Y→△)问题
时间:2023-03-05来源:佚名
|
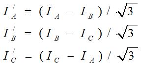
1.以变压器接线方式Y/△11为例,讲解星转角(Y→△)问题: 1.1为了便于理解本文假设: 1)变压器高低压侧额定电流均为1A; 2)变压器平衡系数为1;
1A=100
|
|
1.以变压器接线方式Y/△11为例,讲解星转角(Y→△)问题: 1.1为了便于理解本文假设: 1)变压器高低压侧额定电流均为1A; 2)变压器平衡系数为1;
1A=100
|









