欧姆定律电阻元件上电压、电流的约束关系
时间:2023-03-06来源:佚名
|
电阻元件是耗能元件的理想化模型,是二端元件。 1.线性时不变电阻 阻值不随其两端电压或电流数值变化,并且不随时间t变化的电阻。本课程中电阻无特殊说明均指线性时不变电阻。 2.电压、电流(伏安)关系 电阻上电流与该电阻两端电压之间的关系,反映了电阻元件的特性。下图是电阻模型及伏安特性曲线。 线性时不变电阻的伏安特性曲线是一条经过坐标原点的直线。电阻值可由曲线的斜率来确定。
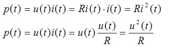
3.功率与能量 电阻R上吸收电功率为:
|






