零磁通电流传感器工作原理
时间:2023-03-06来源:佚名
|
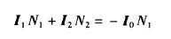
穿芯式电流互感器的原理电路如图1所示,图2是其二次等效电路图。I1为电流互感器一次侧电流,I2为二次侧电流,I0为激磁电流。N1、N2分别为一、二次绕组匝数。因此,该电流互感器的磁势平衡方程为:
|
|
穿芯式电流互感器的原理电路如图1所示,图2是其二次等效电路图。I1为电流互感器一次侧电流,I2为二次侧电流,I0为激磁电流。N1、N2分别为一、二次绕组匝数。因此,该电流互感器的磁势平衡方程为:
|




