零磁通电流互感器的构成及工作原理

时间:2023-03-06来源:佚名

零磁通电流互感器的构成及工作原理

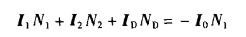
图:电流互感器原理框图
  图所示零磁通电流传感器的原始框图。其中,ND为检测绕组,D为动态检测单元,C为产生二次电流的有源网络。本回路的磁势平衡方程为:

零磁通电流互感器的构成及工作原理
  I1产生的激磁磁通在ND两端产生感应电势,并加到动态检测单元D输入端,通过G产生二次电流I2提供给二次绕组,I2所产生的磁通对铁芯去磁,使铁芯达到磁势平衡。因此,理想状态时,该传感器的二次绕组电流I2全部由有源网络G供给,而不从感应电势取电流。D高速动态检测ND两端的电势差,当电势差足够小(近似为零的允许值)时,铁芯中的磁通即近似为零磁通。若检测值偏离允许值,G则自动高速调整。如此高速跟踪调整,使铁芯能始终保持在逼近零磁通状态,传感器达到较高的精度。

    相关阅读

    电容降压元器件应如何进行正确选择

    最简单的电容 降压直流供电电路及其等效电路如图1,C1为降压电容,一般为0.33~3.3uF。假设C1=2uF,其容抗XCL=1/(2PI*fC1)=1592。由于整流管的导通电阻只有几欧姆,稳压管VS的动态电阻为10欧...
    2023-03-21
    电容降压元器件应如何进行正确选择

    国标电线平方对照表,新手收藏!

    电线的平方数对应的直径是测量该电线是否合格的检测之一,下面就来介绍下电线规格与直径对照表 电线规格与直径对照表 1、国标电线规格与直径对照表(BV硬线) 2、电线规格与直径...
    2024-09-04
    国标电线平方对照表,新手收藏!

    西门子6SE70变频器故障实例处理

    我们将以西门子6SE70变频器 控制面板PMU液晶显示屏上显示字母“E”报警故障为例,说明该变频器故障的处理方法。 西门子6SE70变频器控制面板PMU液晶显示屏上显示字母“E”报警时,变...
    2023-03-21

    分享50个常用硬件设计电路

    对于一个从事电子行业工作的朋友来讲,如何快速的成长、入门是一个很头疼的事情,因为很多基础的理论,比较乏味,太过专业的知识,看起来,很是让人伤透脑筋,今天我就给大家...
    2023-04-29
    分享50个常用硬件设计电路

    如果你连倒闸操作都不会,那就只能乖乖做初级电工了

    什么是倒闸操作?倒闸操作就是改变电气设备的运行方式,将电气设备运行方式由一种状态操作至另一种状态的操作。 主要运行方式有以下四种: 热备用状态 冷备用状态 运行状态 检...
    2023-06-25
    如果你连倒闸操作都不会,那就只能乖乖做初级电工了

    热销商品

    加厚abs安全帽电工建筑工地程施工领导监理透气防砸头盔可印字V型

    这款加厚ABS安全帽专为电工、建筑工地施工人员、领导及监理设计,采用高强度ABS工程塑料,抗冲击、防砸性能优异,有效保障头部安全。帽体加厚设计,增强耐用性与防护等级...
    5.8

    水口钳高硬度模型剪钳电子钳工业级口水剪斜嘴钳偏口斜口专用钳子

    水口钳高硬度模型剪钳是一款工业级精密工具,专为电子、模型制作及精细作业设计。采用优质高碳钢材质,经热处理工艺打造,具备卓越的硬度和耐磨性,可轻松剪切金属引脚、...
    4.8

    170电子剪钳II 如意斜口钳 工业斜嘴钳水口钳 模型剪塑胶钳尖嘴钳

    170电子剪钳II如意斜口钳是一款专业级精密工具,集工业斜嘴钳、水口钳、模型剪、塑胶钳与尖嘴钳功能于一体,适用于电子维修、模型制作、手工艺及精密作业。其采用优...
    4.5

    安全帽国标工地加厚施工领导透气安全头盔建筑工程监理免费印字

    本款安全帽严格遵循国家GB 2811-2019标准,专为建筑工程、工地施工及监理人员设计。采用高强度ABS工程塑料,加厚壳体有效抗冲击,保障头部安全。帽体轻盈透气,内置可调...
    10

    包邮三角型简易螺丝刀三角十字螺丝刀螺丝批改锥起子五金工具5mm

    这款5mm三角型简易螺丝刀,专为拧紧或拆卸三角形螺丝设计,适用于电子维修、家电维护及精密仪器装配等场景。采用优质合金钢材质,刀头硬度高、耐磨损,确保长久使用不变...
    3.64

    网站栏目