电机空载试验是电机型式试验中非常重要的一个试验,是指电机作为空载电动机运行时,其轴端无有效功率输出的试验。空载损耗是由空载试验得出,主要包括铁耗和风摩耗。 一、异步电机空载损耗的测试方法 试验是在额定频率、转子转轴不带负载情况下进行的。调节定子端电压子端电压由1.25额定电压U1左右逐渐降低,直到转差率明显增大,空载电流达到最小为止。 每次测出定子相电压U1、空载相电流I0和空载输入总功率P0。然后由试验数据,即可得出电动机空载相电流I0和空载输入总功率P0随定子相电压U1的变化曲线,也就是我们常说的空载特性曲线。
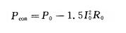
 异步电机空载特性曲线 二、空载损耗的构成 空载输入功率为电动机空载运行时的总损耗,总损耗包括定子铜耗、转子铜耗、铁耗和风摩耗,因为空载是电动机的转速接近同步转速(转差率为0),所以空载时转子铜耗可以忽略不计。 1.恒定损耗 空载输入功率减去试验温度下定子铜耗即为恒定损耗(Pcon),恒定损耗等于风摩耗与铁耗之和。
 P0:空载输入功率(w) I0:空载电流(A) R0:空载试验温度下的直流电阻 2.风摩耗Pfw 风摩耗只与转速有关而与电压无关,空载运行转速基本稳定,可认为风摩耗为常数,在空载特性曲线中作Pcon对(U0/Un)2做曲线,直线延长至零电压即为风摩耗Pfw,可以认为风摩耗与负载无关。 3.铁耗Pfe 作Pfe对U0/Un的关系曲线,不同负载时铁耗根据电压Ub/Un在曲线上不同而不同。

电压的额定电压铁耗按Ub=Un确定。 从损耗的构成和分析来看,空载特性曲线对损耗的分析有着至关重要的作用。对于空载试验的测量来说,空载试验需要在不同电压点测试电机的电参数,电压电流跨度比较大,而且需要迅速完成空载试验数据的采集。所以宽量程测试范围显得尤其重要。 |