转矩-转速特性是转矩和转速之间从零转速到同步转速的关系。该曲线将包括最大转矩、最小转矩和堵转转矩。单相异步电机转速-转矩特性试验方法包括测量输出法、加速度法、输入法和直接测量法四种。 一、测量输出法测量转矩-转速特性 测量输出法测量转矩-转速特性时,被测电动机连接到测功机或其他的负载电机上以使电动机转速可以通过变化的负载来控制。负载下的风摩耗应预先确定。 测试数据应在约 1/3 同步转速与最高转速之间测得。在记录数据的时候,转速应保持恒定,确保加速或减速不会影响记录数据的值。在每一个转速点应读出电压、电流和转矩数值。应注意避免电动机过热。总输出功率是测量的输出功率和负载损耗之和。因此对应每个转速n下的转矩T可以按下式计算:
 式中: T――转矩,单位为牛顿米(N•m); P0――输出功率,单位为瓦特(W); P1――负载风摩耗,单位为瓦特(W); n一-转速,单位为转每分钟/min。)。 二、加速度法测量转矩-转速特性 加速度法必须通过计算或者测量先求取转动部件的瞬间转动惯量。当电动机从静止加速到接近同步转速时,应在固定的时间间隔中读取电流和转速值。转矩T可以按下式计算:
 式中: T――转矩,单位为牛顿米(N•m); dn/dt――转速的变化率 (r/min•s); J――瞬间转动惯量,单位为千克平方米(kg•m2); K――为常数,109.7*10-4。 三、输入法测量转矩-转速特性 输入法测量转矩-转速特性时,转矩由输入功率减去损耗计算得到。 每个转速下的转矩T应通过输入功率算得,可以按下式计算:
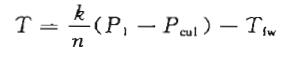
 式中: T――转矩,单位为牛顿米(N•m); K――常数,9.55; Pcu1——定子铜耗,单位为瓦特(W); P1 一一输入功率,单位为瓦特(W); n——转速,单位为转每分钟 Cr/min) Tfw——电动机在转速n下的风摩转矩,单位为牛顿米(N•m)。 四、直接测量法测量转矩-转速特性 直接测量法转矩-转速试验应通过连续数值测量的方法进行。当设备不能实现连续测量数据时,该试验可以使用测功机来进行。试验应采用稳定电源供电并在额定电压下进行。当采用测功机方法时,测量转矩时的转速应该按照能确保画出基本特性中最大转矩的间隔选取。
|