电动机的效率
时间:2023-03-07来源:佚名
|
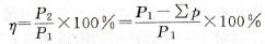
电动机的效率是输出机械功率和输入电功率之比,一般用百分数表示,常用符号η(希腊字母,近似读音为“诶塔”)表示。
铭牌上给出时,一般采用该电动机技术条件中所规定的数值,有的厂家采用样机实测平均值。实测时,一种方法是实测出电动机的输出机械功率P2和输入电功率P1,然后根据有关要求进行一些温度修正后,相比得出;另一种方法是测量出实际的输入电功率P1和各项损耗∑p,然后用P2 =P1 -∑p求出输出功率P2,再求出效率值η,即:
各项损耗包括:①铁芯损耗——含铁芯涡流损耗和磁滞损耗,简称铁耗或铁损; ②风扇和轴承产生的损耗——合称机械损耗或风磨损耗,简称机械耗或风磨耗; ③定子绕组的热损耗——称为定子铜损耗,简称定子铜耗; ④转子绕组产生的热损耗——称为转子铝或铜损耗,简称转子铝(或铜)耗; ⑤上述4种损耗不能包括的其他损耗总和——称为杂散损耗,简称杂耗。习惯称为“5大损耗”。 |








