直流电阻器常作为电阻工作基准器和标准器对其他各等级的电阻进行误差检定和标定,同时作为基准器和标准器的直流电阻器的误差检定有明确要求。
直流电阻器的基本误差的检定是在额定参比条件下进行,根据被检电阻器的等级指数、标称值,可采用直接测量法、同标称值替代法、累计差值法和过渡传递法等检定方法。下面本文主要根据直流电阻器检定规程介绍直流电阻器误差检定的相关方法。
一、直流电阻器检定——直接测量法
当用比被检电阻器搞两个准确度等级的电阻测量仪器或装置来测量被检电阻器电阻值时,可采用直接测量法,被检电阻器Rx的电阻值的检定结果为:

式中:
Ax——电阻测量仪器示值。
常用的电阻测量仪器或装置有电桥、电流比较仪、电压比较仪、数字欧姆表。
二、直流电阻器检定——同标称值替代法
当电阻测量仪器或装置达不到比被检Rx准确度等级搞出两个等级,而又有与被检电阻器Rx同标称值的电阻标准器Rs时,被检电阻器电阻值的检定可采用同标称值传递法。
最常用的同标称值传递法是替代法,替代法是用电阻测量(或比较)仪器依次测量标准电阻器Rs和被检电阻器Rx的电阻值。检定结果为:

式中:
As——测量Rs时测量仪器的示值。
常用的电阻比较仪器有电桥、电流比较仪、电压比较仪、数字欧姆表、电阻比较仪、电位差计等。
三、直流电阻器检定——累积差值法
具有连续、同标称值步进的多值电阻器如十进盘电阻器,当具有与其步进值同标称值且可实现相加连接的电阻标准器Rs或参考电阻器RT时,Rx的检定可在相应的测量仪器上采用累积差值法进行整体检定。
被检十进制盘电阻器

d)如采用参考电阻器RT代替Rs,可在i=1或i=10时,用同标称值替代法为RT定值后再按c计算检定结果。
注意:用M测量Rx时,M必须按a、b两程序中的关系设置,差值Δ和δ用M尾数或差值测量仪器读取。
e)常见的电桥、电流比较仪、电压比较仪、数字欧姆表、电阻比较仪、电位差计等电阻比较、测量仪器均适用于累积差值法。
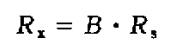
四、直流电阻器检定——过渡传递法
通过确定Rx与Rs的电阻比值B来实现电阻量值传递的方法称过渡传递法。检定结果为

常用的电阻比的检定方法由直接测量法、标准量具法。
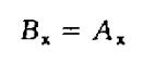
1.直接测量法
用作为标准的电阻比测量仪器或装置直接测量Rx与Rs的电阻比值Bx。测量结果为
式中:

Ax——电阻比测量仪器的示值。
常用的电阻比测量仪器有电流比较仪、电压比较仪、电桥和某些具有比率测量功能的数字式仪表。
2.标准量具法
由两只(或两组)电阻器组成的、具有已知电阻比值的电阻比例器称为标准电阻比量具。
常用的电阻比量具有Hamon量具和比例量具,两只不同标称值的电阻标准器也可以作标准电阻比量具使用。
用电阻比量具测定电阻比的方法有电阻比较法和比例替代法。
1)电阻比较法
当电阻比量具分别是由于Rx和Rs同标称值的单只或组合电阻器Rb1和Rb2构成时,可以按同标称值替代法中要求,通过Rx和Rb1及Rs和Rb2两组同标称值的电阻比较确定Bx。程序为

As——测量Bs时,电阻比测量仪器的示值。
除直接测量法中电阻比测量仪器,电阻比较仪也可进行特定比率的电阻比比较。
五、直流电阻器检定注意事项
A.当采用直接测量法、同标称值替代法和累积差值法检定标准电阻器时,应满足如下要求:
a)作为标准的电阻测量仪器,电阻标准器的等级指数Cs应不大于被检电阻器等级指数Cx的1/3(对电阻基准器、标准器和0.002级及以上等级电阻器)和1/4~1/5(对其他等级电阻器)。
b)作电阻替代比较用的电阻测量仪器引入的误差应不大于0.1Cx。
c)检定时灵敏度引入的误差应≤0.1Cx。
B.用过渡传递法检定电阻器时,应满足如下要求
a)电阻标准器比A项a)中的标准器高一等级。
b)仅一次过渡传递时,由电阻比测量仪器、电阻比连狙以及灵敏度引起的误差各自应不大于0.1Cx。
c)多次过渡传递中,每次传递时由电阻比测量仪器、电阻比量具和灵敏度引起的误差应按比Cx高一等级要求。