初学电工必看:电工常用计量单位使用规则
时间:2023-03-07来源:佚名
|
一、对于各种计量单位,大、小写字母的使用规则是有严格规定的:
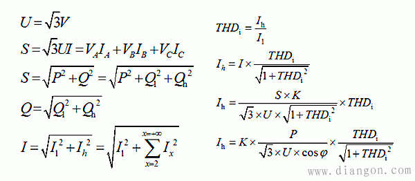
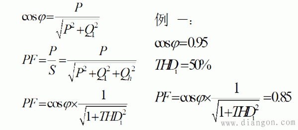
1、凡是来源于人名字的单位符号第一个字母必须用大写字母,如:Hz(赫兹)、V(伏特)、A(安培)、Pa(帕斯卡)等; 2、非来源于人名字的单位符号除一个特例外,就是表示"升"的符号,在容易与阿拉伯数字1混淆的场合必须用大写字母L,如5升必须写成5L,而在不容易与阿拉伯数字1混淆的场合,大写与小写均可以,如5毫升可以写成5ml。其它一律用小写字母,如:m(米)、g(克)、s(秒)等; 3、表示倍率关系的头字母使用也有严格规定,例如表示一千必须用小写的 k,而不应当用大写的K,有的用错了还会引起岐义,例如mW(毫瓦)、与MW(兆瓦)、mΩ(毫欧)与MΩ(兆欧)、Nm(牛顿米,力矩单位)与nm(纳米,长度单位)等。 二、 电力行业常用到的一些计量单位: 1、电压kV、电阻kΩ、电流mA、μA、A、kA、有功功率kW、无功功率kvar、视在功率kVA、电容p、μF、F、频率Hz等。其中的k、m、μ、var、p、z均为小写字母,其余为大写字母。 2、MΩ、MW、Mvar、MVA、MPa中的“兆”为大写字母“M”。 三、电力常用计量单位符号标准 单位名称标准符号错误符号 瓦W 千瓦kWKW,kw 伏V 千伏kVKV,kv 千瓦时kWhKWH,kwh 千伏安kVAKVA 兆伏安MVA 赫兹HzHZ 毫米mmMM 厘米cmCM 米mM 千米kmKM 克gG 千克kgKG 四、电能质量行业中常用到的符号 |













