笼形三相异步电动机转子起动和运行方式
时间:2023-03-07来源:佚名
|
三相异步电动机转子绕组有笼形和绕线型两种。其中笼形又可分为铸铝和铜条两种,所有导条通过两端的端环连接成通电的闭合回路,就像前面讲过的金属环一样。
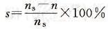
当定子通入三相交流电并产生旋转磁场后,处在磁场中的转子绕组就会因切割该磁力线而产生感生电流,并进一步产生电磁力和转矩,使转子转动起来,旋转方向同定子旋转磁场的方向。但如前所述,转子的转速(用符号n表示)会永远低于定子磁场的转速,其转速差值叫做“转差”,用百分数表示叫做“转差率”,用符号s(%)表示。 “同步转速”用符号ns表示,“转差率”用符号s表示,用符号n表示转子的转速,则有:
转差率的大小与负载的轻重有关,负载越大,转差率也就越大。普通中小型电动机的转差率在0.5%~5%之间。容量小的数值较大,反之较小,例如100kW以上的电动机一般在1%以内。专用的高转差率电动机最高可达12%。 |







