|
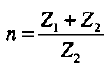
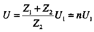
 图示1:数字高压表工作原理示意图 Z1——高压分压器高压臂阻抗; Z2——高压分压器低压臂阻抗; PV——低压数字表; U——被测高电压, ; n——高压分压器的分压比, ; U1——PV读数值。 数字高压表一般是指是用于测量频率范围在30Hz~300Hz内的交流高电压和(或)直流高电压的测量仪表,主要由高压分压器、传输电缆和低压数字表构成。为了减小外界干扰,高压分压器的低压输出端通常使用屏蔽电缆与低压数字表连接,电缆的屏蔽层与芯线间的电容与高压分压器的低压臂阻抗并联,因此传输电缆可以视为高压表的一部分。
|