如何扩大直流电流表量限
时间:2023-03-08来源:佚名
|
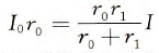
要用量限较小的直流电流表测量较大的直流电流时,可用并联分流器的方法扩大仪表的量程。分流器是一个限值较小的电阻r1,将其并联到仪表的测量机构上,再串入被测电路,如图所示;由欧姆定律
分流器电阻值
图 分流器的作用 |
|
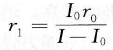
要用量限较小的直流电流表测量较大的直流电流时,可用并联分流器的方法扩大仪表的量程。分流器是一个限值较小的电阻r1,将其并联到仪表的测量机构上,再串入被测电路,如图所示;由欧姆定律
分流器电阻值
图 分流器的作用 |








