主从JK触发器的逻辑图及逻辑符号_JK触发器电路结构及工作原理
时间:2023-03-08来源:佚名
|
为了解决输入信号之间的约束问题,避免输入端R、S出现全1的情况,可将电路改进为主从型JK触发器,简称为JK触发器。
(1)电路结构。JK触发器的逻辑图,如图1 (a)所示。由图可见,是将主从RS触发器
图1 主从JK触发器的逻辑图及逻辑符号 (a)逻辑图;(b)逻辑符号 (2)工作原理。由逻辑图分析,JK触发器的触发特点,可用表1说明。 表1 主从JK触发器触发特点
可见,主从式JK触发器也是CP的下降沿触发。根据JK触发器的触发特点,可知: 当CP=1时,主触发器工作,有
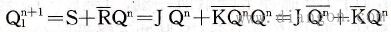
当CP=0时,从触发器打开,则有
亦即:
该式为JK触发器的特性方程。 |
和









