不同功率电动机电容C和电阻R的选择
时间:2023-03-08来源:佚名
|
1.电容C容量的计算。
C△≥4. 85KcI0(电容器为△形接法)
CY≥8.4KcI0(电容器为Y形接法)
式中:C△、CY-△、Y形接法电容器的容量(μF);
Kc-强迫系数,取4~6;
I0-电动机空载电流(A),一般小容量电动机的I0
为额定电流的35%~50%。
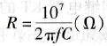
2.放电电阻R阻值的确定。
放电电阻R可有较大的调整范围,一般可取:
![]() 式中:f-电源频率(50Hz)。
不同功率的电动机,电容C和电阻R的选择参见表。
表 不同功率电动机电容C和电阻R的选择
![]() 由于该电动机低速绕组为△形接法,所以电容器组也接成△形。电容器组必须接在低速绕组上。 |











