晶振的等效电气特性
时间:2023-03-08来源:佚名
|
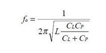
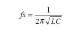
(1) 概念 [1] 晶片,石英晶体或晶体、晶振、石英晶体谐振器 从一块石英晶体上按一定方位角切下薄片。 [2] 晶体振荡器 在封装内部添加IC组成振荡电路的晶体元件称为晶体振荡器。 (2) 晶振等效电路
图1. 晶振的等效电路
图2. 晶振的电抗频谱线
当晶振工作在并联谐振模式时,晶振表现为感性。该模式的工作频率由晶振的负载决定。对于并联谐振状态的晶振,晶振制造商应该指定负载电容CL。 在并联谐振模式下,电抗线中fs到fa的斜线区域内,通过调整晶振的负载,如图2,晶振都可以振荡起来。 |







