变频器与电动机配合低速运行应用注意事项
时间:2023-03-08来源:佚名
|
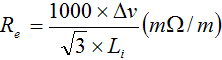
生产现场常会碰到有的设备由于选型能力过大,改用变频调速时电动机的转速就有可能长期低于电动机的额定转速;再就是有的机械对转速要求并不一定要高,如带输渣机,由于输渣量不大,如长期处于高转速运行对带磨损很大,换一条带要好几万元钱,如果改用变频器来驱动,可把电动机转速限定在一定范围,既满足了输渣量的要求,又减少了带的磨损还节约了维修费用。实践已证明上述的应用使电动机长期处于低速运行是没有问题的。但对于变频器与电动机配合低速运行的应用,电工学习网小编提醒大家还要注意以下两个问题: 1、电动机的温升问题 电动机的温升受两个因素的影响,一个是变频器的输出波形,其输出波形与工频是不同的,变频器的输出中含有大量的谐波成分,导致波形变坏而影响电动机的温升;再就是电动机在低速运转时,电动机风扇的转速也下降导致冷却效果变差也会影响电动机的温升。所以在应用中要注意观察电动机的温度,必要时应适当提高电动机容量或降低转矩运行。但对于风机、泵类负载由于速度下降,则所需要的轴转矩是以平方减小的,这时负载电流也是大幅度减小的,所以不用担心电动机的温升问题。 2、电动机连接导线的电压降问题 从变频器U/f曲线可知,变频器的输出频率低时,其输出的电压也低。这时电压降所占的比例增大。如果变频器与电动机的距离较远时,则电压降会大,可能就会发生电动机转矩不足,因此通常要求变频器与电动机间的电压降应小于额定电压的2%。这时 : ![]() 式中Re为lm电线的电阻值,mΩ/m;△V为允许线间的电压降,V;L为1相电线的使用长度,m;i为额定电流,A。 对于380V电源,允许的电压降为7.6V,对于一般应用场合大多是不注意这些细节的,并且应用中也没有发现太大的影响。谈这问题主要是针对一些场合而言,如果变频器与电动机的连接距离很长时,是需要考虑的。或者电动机在低速运行时,总感觉转矩不够,可从这方面找原因。 |







