串联和并联电路的谐振
|
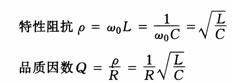
1、谐振 正弦稳态电路中,电流与电压一般相位不同,若电压超前电流 处在谐振状态的电路称为谐振电路 2、RLC串联谐振电路 输入阻抗 谐振条件
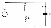
谐振角频率 串联谐振电路的电路参量 串联谐振电路的谐振特点: 1)电压与电流同相位, 2)当输入电压 3)电感电压 RLC并联电路与RLC串联电路是对偶电路,利用对偶关系,可以很方便得到RLC谐振并联谐振电路的特点。 3、并联谐振 如图1所示并联谐振电路,输入导纳
图1 4、串、并联谐振电路的频率特性
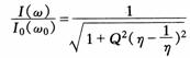
为了通用性和分析比较不同的电路频率特性问题的方便,一般采用归一化处理,得到归一化幅频特性等。如RLC串联电路中电流
由此可见,谐振电路的通频带与Q值成反比。 |






























