变压器空载运行感应电动势和变比_变压器空载电流和空载损耗空载运行时相量
|
一、变压器的空载运行 1.空载运行时各物理量正方向的规定 变压器一次绕组接额定频率和额定电压的电网上,而二次绕组开路,即I2=0的工作方式称变压器的空载运行。为了简便起见,将立体图改画成平面图,如图1所示。
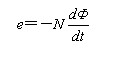
图1 单相变压器空载运行 由于变压器接在交流电源上工作,因此通过变压器中的电压、电流、磁通及电动势的大小及方向均随时间在不断地变化,为了正确地表示它们之间的相位关系,必须首先规定它们的参考方向。 原则上可以任意规定参考方向,但是如果规定的方法不同,则同一电磁过程所列出的方程式,其正、负号也将不同。为了统一起见,习惯上都按照“电工惯例”来规定参考方向: (1)电压的参考方向:在同一支路中,电压的参考方向与电流的参考方向一致。 (2)磁通的参考方向: 磁通的参考方向与电流的参考方向之间符合右手螺旋定则。 (3)感应电动势的参考方向:由交变磁通Ф产生的感应电动势e,其参考方向与产生该磁通的电流参考方向一致(即感应电动势e与产生它的磁通Ф之间符合右手螺旋定则),如图2所示。
图2 参考方向的规定 按此参考方向列出的电磁感应定律方程为
下面分析变压器空载运行时,各物理量之间的关系。 2.感应电动势和变比 空载时,在外加交流电压ul作用下,一次绕组中通过的电流称为空载电流i0。在电流i0的作用下,铁心中产生交变磁通Φ(称为主磁通),主磁通Φ同时穿过一、二次绕组,分别在其中产生感应电动势e1
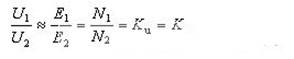
如略去一次绕组中的阻抗不计,则外加电源电压U1与一次绕组中的感应电动势E1可近似 看作相等,即U1≈E1,而U1与E1的参考方向正好相反,即电动势E1与外加电压U1相平衡。 在空载情况下,由于二次绕组开路,故端电压U2与电动势正好相等,即U2=E2。 因此 U1≈E1=4.44fN1Фm (2-3) U2=E2=4.44fN2Фm (2-4) 式中,Ku称为变压器的变压比,简称变比,也可用K来表示,这是变压器中最重要的参数之一。 由式(2—5)可见:变压器一、二次绕组的电压与一、二次绕组的匝数成正比,也即变压器有变换电压的作用。 由式(2—3)可见:对某台变压器而言,f及N1均为常数,因此当加在变压器上的交流电压有效值U1恒定时,则变压器铁心中的磁通Фm基本上保持不变。这个恒磁通的概念很重要,在以后的分析中经常会用到。 3.变压器的空载电流和空载损耗 变压器空载运行时,空载电流I0一方面用来产生主磁通,另一方面用来补偿变压器空载时的损耗。为此,将I0分解成两部分,一部分为无功分量Iq,用来建立磁场,起励磁作用,与主磁通同相位;另一部分为有功分量Id,用来供给变压器铁心损耗,相位超前主磁通90o,即:
空载电流一般只占额定电流的(2~10)%,而Id<10%I0,因此I0≈Iq,所以空载电流I0主要用来建立主磁通。故近似称作励磁电流。变压器空载时没有输出功率,它从电源获取的全部功率都消耗在其内部,称为空载损耗。空载损耗绝大部分是铁心损耗P0,即磁滞损耗与涡流损耗,只有极少部分是一次绕组电阻上的铜损耗I02R,,它只占空载损耗的2%,故可认为变压器的空载损耗就是变压器的铁心损耗。 4.空载运行时相量图 变压器空载运行时的电路原理图如图2—13。其中一次绕组的两个接线端用“U1”、“U2”表示,二次绕组的两个接线端用“u1”、“u2”表示。 在不计一次绕组的阻抗及变压器中的损耗时,图2—11中的空载电流I0只用来产生磁通Фm,一次绕组电路为纯电感电路,空载电流I0滞后于电压U190o,又由于感应电动势El滞后
图2-13 单相变压器电路原理图 于 电压U1180o,故E1滞后于电流I090o。另外由前面分析知道E1也滞后于Фm90o,故I0与由Фm同相位,由此可以作出理想变压器(不计损耗的变压器)空载运行时的相量图,如图2—14所示。
图2-14 理想变压器空载运行相量图
例2—2:如图2—11所示,低压照明变压器一次绕组匝数N1=660匝,一次绕组电压Ul=220V,现要求二次绕组输出电压U2=36V,求二次绕组匝数N2及变比Ku 解 由式(2—5)可得 通常我们把Ku>1(即U1>U2,N1>N2)的变压器称为降压变压器;Ku<1称为升压变压器。 |


















