功率因数如何计算
时间:2023-03-08来源:佚名
|
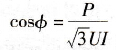
用电功率因数的大小是随用电负荷性质变化的。其瞬时值可由功率因数表直接查出。也可根据电压表、电流表和瓦特表在同一时间的读数计算:
![]() 即为
![]() 【例】 有一用户,瓦特表指示100kW,电压表指示380V,电流表指示200A,求功率因数是多少?
【解】 根据公式 ![]() |
|
用电功率因数的大小是随用电负荷性质变化的。其瞬时值可由功率因数表直接查出。也可根据电压表、电流表和瓦特表在同一时间的读数计算:
![]() 即为
![]() 【例】 有一用户,瓦特表指示100kW,电压表指示380V,电流表指示200A,求功率因数是多少?
【解】 根据公式 ![]() |








