1. 电流连续性方程
|
|
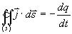
如图:取任一闭合曲面S,则在某段时间内由此面流出的电量等于在这段时间内S面内包含的电量的减少。在S面上处处取外法线,则在单位时间里由S面流出的电量应等于 。设这段时间dt包含在S面内的电量增量为dq,则在单位时间里S面内的电量减少为 -dq/dt。所以: |
(1) |
(1)式就是电流连续方程(积分形式)。表示电流线是终止或发出于电荷发生变化的地方。其含义是如果闭合面S内正电荷积累起来,则流入S面内的电量必大于S面流出的电量,也就是说,进入S面的电流线多于从S面出来的电流线,所多余的电流线便终止于正电荷积累的地方。
2. 稳恒电流
稳恒电流指电流不随时间变化。在稳恒条件下,对于任意闭合曲面S,面内的电量不随时间变化,即dq/dt=0 ,由(1)式得: (2) (2)式叫做电流的稳恒条件,它表明,通过S面一侧流入的电量等于从另一侧流出的电量。电流线连续地穿过闭合曲面包围的体积。因此稳恒电流的电流线不可能在任何地方中断,它们永远是闭合曲线。 |
 | |