带电粒子在均匀磁场中的运动
时间:2023-03-09来源:佚名
|
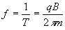
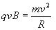
(1)粒子的初速v垂直于B:由于洛伦兹力永远垂直于粒子的速度,它只改变粒子运动的方向,但不改变其速率v,因此粒子将在平面内作匀速圆周运动。设粒子的质量为m,根据牛顿第二定律,f=ma,有: ,所以R=mv/qB。运动周期 , ,f叫做带电粒子在磁场中的回旋共振频率。回旋共振频率与粒子的速率和回旋半径(又称拉摩半径)无关。(2)普遍情形:普遍情形下,v与B成任意夹角θ。如图,v∥=vcosθ,v⊥=vsinθ.若只有v⊥分量,粒子将在垂直于B的平面内作匀速圆周运动;若只有v∥分量,磁场对粒子没有作用力,粒子将沿B的方向(或其反方向)作匀速直线运动。当两个分量同时存在时,粒子的轨迹将成为一条螺旋线。其螺距h(粒子每回转一周时前进的距离)为 ,它与v⊥分量无关。 ![]() |
,所以R=mv/qB。运动周期
,
,f叫做带电粒子在磁场中的回旋共振频率。回旋共振频率与粒子的速率和回旋半径(又称拉摩半径)无关。







