带电作业安全距离的确定(惯用法和统计法)
|
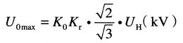
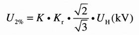
防止过电压伤害的根本手段就是在不同电位的物体(包括人体)之间保持必要的距离,称为安全距离。安全距离是指:为了保证人身安全,作业人员与带电体之间所保持各种最小空气间隙距离的总称。具体地说,安全距离包括下列五种间隙距离:最小安全距离、最小对地安全距离、最小相间安全距离、最小安全作业距离和最小组合间隙。在规定的安全间距下,带电作业中即使产生了最髙过电压,该间隙可能发生击穿的概率总是低于预先规定的可接受值。安全距离的确定,应根据系统所能出现的最大内过电压幅值和最大外过电压幅值求出其相应的危险距离,取其中最大的数再增加20%的安全尺度来确定。 带电作业安全距离的确定属于绝缘配合的计算方法。绝缘配合就是按设备所在系统可能出现的各种过电压和设备的耐压强度来选择设备的绝缘水平,以便把作用于设备上引起损坏或影响连续运行的可能性,降低到经济上和运行上能接受的水平。常用的绝缘配合有惯用法和统计法两种。惯用法是早期绝缘配合的习惯用法,主要适用于220kV及以下电压等级中,在超高压系统(330kV、500kV及以上系统中),如果利用惯用法来确定绝缘间隙的最小安全距离,会将绝缘间隙的尺寸取得过大,从技术、经济上都是行不通的。在超高压系统中对自恢复绝缘应用统计法来确定绝缘配合、安全距离。 惯用法惯用法以作用于绝缘上的“最大过电压”和绝缘本身的“最低耐受强度”为依据,使二者之间满足预期的裕度,这个裕度的确定要考虑最大过电压和最低耐受强度时产生的偏差。 按惯用法作绝缘配合时,如果裕度过大,将为其选用的绝缘付出昂贵的代价,在带电作业的绝缘配合中,裕度考虑过大,不仅操作距离远,手持绝缘工具过长,人为增加了作业难度,还会因设备条件的限制,影响带电作业的开展;裕度考虑过小,则人身安全得不到保证。 应用惯用法时,最大过电压应考虑到操作过电压和远方传来的雷电压。绝缘最低耐受强度则按有关手册的空气间隙和绝缘子串的放电特性来求得。在以前,一般用典型间隙(如:“棒一棒”间隙)放电曲线来确定带电作业间隙的耐压水平。近些年来,人们开始采用典型间隙的操作波放电试验来确定带电作业间隙的耐压强度。在空气间隙中,在波头接近250μs的操作冲击试验中,耐压强度最低,因而在确定带电作业间隙耐压强度的试验中,操作波一般采用标准操作波(250/2500μs)。 应用惯用法确定带电作业安全距离的步骤为: 确定系统最大过电压U0max:
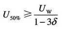
公式中:UH:系统额定电压(有效值);K0:最大过电压倍数;Kr电压升高系数。 确定所需安全裕度系数A,自20世纪50年代开始安全裕度的预期值为1.2. 确定绝缘最低耐受强度Uw,Uw=A·U0max 确定安全距离。考虑到绝缘间隙的放电电压的偏差,一般取δ=6%,则间隙的50%放电电压应满足:
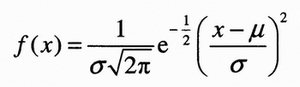
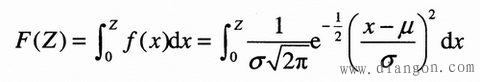
再查曲线或与真型实验数据比较来确定最小安全距离。 统计法在超高压(330kV、500kV以上)系统中,对于自恢复绝缘,应用统计法来进行绝缘配合,也同样应用统计法来确定带电作业的安全距离。 统计法的基本原理是,承认系统中的过电压和绝缘的耐压强度都是随机变量,不同的绝缘、不同尺寸的空气间隙在发生过电压时都有发生放电的可能性,只不过它们发生的概率随绝缘尺寸、绝缘种类等不同。在带电作业时,如果发生了过电压,并由此发生放电的概率,称为危险率。定量地确定某种具体的绝缘下的危险率,只要其值在某个合适的范围之内,就可认为是安全的。统计法就是以正态分布的随机变量的模型来对危险率进行定量计算。按统计法确定的带电作业安全距离,不仅不会造成“绝对安全”的错觉,还能避免不必要的(过大的)裕度,这是其优点所在。但统计法只能应用于自恢复绝缘。 统计法计算危险率的数学原理是:电力系统过电压的幅值、波形、绝缘间隙的放电电压都是“随机变量”,它们基本遵循“正态分布”的统计规律。在确定了其分布的均值和偏差这两个基本参数之后,就可以据此计算危险率。 正态分布的随机变量,其概率密度函数为: 公式中,μ为随机变量χ的均值,σ为标准偏差。σ/μ为相对标准差。 该函数图在水平χ轴上的位置由μ来确定,其形态的“胖瘦”由σ来确定。对上公式进行积分,可以得到正态概率分布函数:
由上式可见,F(Χ)的含义是随机变量χ出现在χ≤Χ的区间的概率,即下左图阴影部分的面积。概率分布函数如下右图所示。
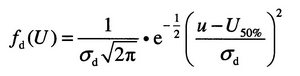
空气间隙的放电电压符合正态分布,因而其概率密度函数为:
其概率分布函数为:
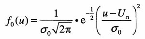
上两式中U50%为绝缘50%放电电压,σd时其标准偏差。 系统过电压幅值出现的概率也基本符合正态分布,其概率密度函数为:
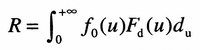
上式中Un为系统过电压幅值的均值(数学期望),σ0为其标准偏差。则危险率R可由下式得到:
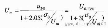
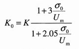
其几何意义如下图所示。Um与U50%的相对位置决定了绝缘配合的裕度,阴影部分的面积就是危险率。此外,σd与σ0决定了二函数的形态,也对危险率的值有影响。 ![]() 危险概率的几何意义 上面的进行式计算需要编制计算机程序利用计算机迅速得到答案,或按SD 119-1984的附件中的绝缘配合的方式来计算,在计算中,一般认为空气间隙放电电压的相对标准小于0.06,即σd取0.06×U50%。而将系统过电压的相对标准偏差取为0.12,即σ0=0.12Um。 绝缘的50%放电电压U50%由绝缘的种类、尺寸、形状决定,对于空气间隙,可查经验曲线,有条件的话也可以做模拟实验进行确认。近些年来,一般都采用带电作业的典型实验来确定U50%。系统过电压均值Um则由系统设计决定,一般来说,对于确定的线路,Um的取值是一定的,Um与系统的统计过电压有如下关系:
而统计过电压U2%通常用过电压倍数K乘以系统最高运行相电压来得到:
上式与本文开头第一道公式的区别在于上式中的K为统计过电压倍数,而第一道公式中的K0位最大过电压倍数,两者之间满足如下关系:
以往的经验证明,将当危险率小于10-5时,是非常安全的。即带电作业时,遇上系统中操作过电压十万次,其中发生了放电的概率小于一次。一般的设计考虑都将带电作业危险率考虑为10-5,这显然是非常安全的。 上述计算中还存在各种潜在的安全裕度。例如,假设带电作业时遇到了过电压,而实际上带电作业时很可能不会遇上过电压;确定绝缘的放电电压时,采用严格的正极性操作冲击时的50%放电电压,而实际上系统中出现正、负极性操作波的概率 是相同的;而且U50%的确定一般采用250/2500us的操作波下的值,这也是与实际操作波形出现的概率下相符合的。考虑到这些因素,可将危险率的安全范围适当放宽, 取(1~5)×10-5也可能是合适的,这由各系统的具体情况决定。 各电压等级系统安全距离国家电网公司发布的《国家电网公司电力安全工作规程》中,对带电作业的安全间距做出了规定,其确定的原则就是前文所述惯用法或统计法,以及各种条件下的试验数据。各电压等级下的详细规定参见《电力安全工作规程》,下表仅列举出常用电压等级带电作业的各种安全距离的规定。
|





















