磁场高斯定理的证明
时间:2023-03-09来源:佚名
|
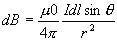
根据闭奥萨伐尔定律,单个电流元IdL产生的磁感应线是以 dL方向韦轴线的圆,如图,圆周上元磁场的数值处处相等: ![]() ![]() 在磁感应线穿入处取一面元dS1,穿出处取另一面元dS2,IdL产生的磁场通过两面元的磁感应通量分别为: ![]() 由于磁感应管呈严格的圆环状,其正截面处处相等,故 ,所以 ,即 。所以高斯定理对单个电流元成立。根据磁场叠加原理,任意载流回路产生的总磁场B是各电流元产生的元磁场dB的矢量和, 从而通过某一面元dS的总磁通量是各电流元产生元磁通的代数和。至此,磁场的"高斯定理"得到了完全证明。 |



,
,即
。所以高斯定理对单个电流元成立。






