电磁波的波动方程
时间:2023-03-09来源:佚名
|
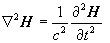
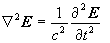
电磁波的方程: 设在真空中无电荷与电流,电磁场方程为: ![]() 对第三式取旋度: ,因为: , 即: , 而且 : 令: ![]() 所以: 。同样地求出磁场的方程: ![]() 这就是电磁场的场量所满足的波动方程,c 是真空中电磁波的波速。 这样,麦克斯韦电磁场理论预言了电磁波的存在, 真空中电磁波的波速精确地与真空中的光速一致,由此麦克斯韦进一步断定光是一种电磁波,从而揭示了光的电磁本质。 1888年赫兹用实验证实了这个预言。赫兹的发现导致了无线电的诞生,开辟了电子技术的新纪元。 |

,
, 即:
,

。







