电流互感器原理和接线图解
时间:2023-03-09来源:佚名
|
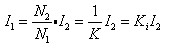
电流互感器用来测量交流大电流或进行交流高电压下电流的测量,它是根据变压器的变流原理制成的,即 ![]() 式中 称电流变比, 。 为已知常数,根据测出的 就可算出待测的 。电流互感器副边绕组的额定电流表规定为5 A或1 A。 下图为电流互感器的接线图。使用时切记副绕组不得开路,否则会在副边产生过高的危险电压并使铁芯严重发热。为安全起见,电流互感器的铁芯及副绕组的一端应该接地。 ![]() ![]() |
|
电流互感器用来测量交流大电流或进行交流高电压下电流的测量,它是根据变压器的变流原理制成的,即 ![]() 式中 称电流变比, 。 为已知常数,根据测出的 就可算出待测的 。电流互感器副边绕组的额定电流表规定为5 A或1 A。 下图为电流互感器的接线图。使用时切记副绕组不得开路,否则会在副边产生过高的危险电压并使铁芯严重发热。为安全起见,电流互感器的铁芯及副绕组的一端应该接地。 ![]() ![]() |









