互感磁能
时间:2023-03-09来源:佚名
|
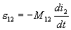
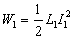
互感磁能: 先使线圈1电流从0到 I1 ,电源做功,储存为线圈1的自感磁能: , 合上开关k2电流 i2 增大时,在回路1中的互感电动势: ,线圈1的电源维持 I1,反抗互感电动势的功,转化为磁场的能量:![]() 线圈2的电流从0到 I2 ,电源做功,储存为线圈2的自感磁能: ![]() 经过上述步骤电流分别为I1 和 I2的状态,储存在磁场中的总磁能: ![]() 同理,先合开关 k2使线圈 2充电至 I2 ,然后再合开关k1保持 I2 不变,给线圈1充电,得到储存在磁场中的总能量为: ![]() 这两种通电方式的最后状态相同,所以: , ,其中,MI1 I2 为互感磁能,M为互感系数. |
先使线圈1电流从0到 I1 ,电源做功,储存为线圈1的自感磁能:
, 合上开关k2电流 i2 增大时,在回路1中的互感电动势:
,线圈1的电源维持 I1,反抗互感电动势的功,转化为磁场的能量:



,
,其中,MI1 I2 为互感磁能,M为互感系数.







