电场的能量 能量密度——电磁能

时间:2023-03-09来源:佚名
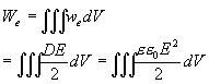
电能分布与电场中,最好能将电能的公式通过描述电场的特征量——场强E表示出来。我们可以通过平行板电容器的特例来说明:
电场的能量 能量密度——电磁能    电容器的储能公式为:
      电场的能量 能量密度——电磁能
   式中Q0为极板上的自由电荷,它与电位移的关系是:
      电场的能量 能量密度——电磁能
   S是极板面积;U是电压,它与场强的关系是U=Ed(d是极板间距)
   代入上式得:
      电场的能量 能量密度——电磁能
   V=Sd是极板间电场所占空间的体积。在单位体积内有电能

   We=we/V,这个量叫做电能密度。
   
根据上式:
电场的能量 能量密度——电磁能
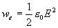
在真空中ε=1,则:
电场的能量 能量密度——电磁能
这里场能密度的表达式虽然是通过平行板电容器中均匀电场的特例推导出来的,但它们却是普遍成立的。

因为能量是物质的状态特性之一,所以它是不能和物质分割开的。电场具有能量,这就证明电场也是一种物质。

当电场不均匀时,总电能We应是电能密度we的体积分:
电场的能量 能量密度——电磁能
在真空中,上式可化为:

相关阅读

电气图纸中敷设方式符号表示大全,堪称百科全书!(下)

学工控技术,拿10万年薪 马上注册,免费学习 超过100课时视频教程,免费下载海量学习资料 3.字符电路图符号大全 AAT 电源自动投入装置 AC 交流电 DC 直流电 FU 熔断器 G 发电机 M 电动机...
2023-06-27

你家停电,可能是隔壁老王引起的!原来如此!

“家保”,家用漏电保护器,是对家里漏电后进行保护的一个装置。经过多年的推广使用,大部分家庭都已安装。 那么“家保”有什么作用呢? 供电抢修人员说 “家保“退出运行的情况...
2023-06-11
你家停电,可能是隔壁老王引起的!原来如此!

移位指令带你点亮多盏灯不再是难事

在程序编写的时候,常常会涉及到移位的指令,移位指令可以分为位移位、字移位指令。 本文中提到的是左移位指令SFTL,左移位指令有四个操作数组成,源操作数和它的长度,目标操...
2023-03-29
移位指令带你点亮多盏灯不再是难事

手把手教你计算给排水、暖通、电气工程安装工程量

给排水工程(给水、排水) 一、给水部分: 1、先数给水入口处及室内的给水器具(如阀门、水表等),根据管径不同分开统计。 2、算量时先算干管,再算立管,最后算支管;根据管...
2023-06-11

低压断路器的结构及工作原理是什么

   断路器   低压断路器 俗称自动开关或空气开关,用于低压配电电路中不频繁的通断控制。在电路发生短路、过载或欠电压等故障时能自动分断故障电路,是一种控制兼保护电器...
2023-06-27
低压断路器的结构及工作原理是什么

热销商品

加厚abs安全帽电工建筑工地程施工领导监理透气防砸头盔可印字V型

这款加厚ABS安全帽专为电工、建筑工地施工人员、领导及监理设计,采用高强度ABS工程塑料,抗冲击、防砸性能优异,有效保障头部安全。帽体加厚设计,增强耐用性与防护等级...
5.8

欧普led筒灯3w孔灯超薄桶灯吊顶天花灯过道嵌入式洞灯客厅5w

欧普LED筒灯是一款高品质嵌入式照明产品,适用于客厅、过道、吊顶等多种场景。采用优质LED光源,提供3W和5W两种功率选择,光线柔和均匀,显色指数高,有效还原真实色彩。超...
7.45

水口钳高硬度模型剪钳电子钳工业级口水剪斜嘴钳偏口斜口专用钳子

水口钳高硬度模型剪钳是一款工业级精密工具,专为电子、模型制作及精细作业设计。采用优质高碳钢材质,经热处理工艺打造,具备卓越的硬度和耐磨性,可轻松剪切金属引脚、...
4.8

170电子剪钳II 如意斜口钳 工业斜嘴钳水口钳 模型剪塑胶钳尖嘴钳

170电子剪钳II如意斜口钳是一款专业级精密工具,集工业斜嘴钳、水口钳、模型剪、塑胶钳与尖嘴钳功能于一体,适用于电子维修、模型制作、手工艺及精密作业。其采用优...
4.5

安全帽国标工地加厚施工领导透气安全头盔建筑工程监理免费印字

本款安全帽严格遵循国家GB 2811-2019标准,专为建筑工程、工地施工及监理人员设计。采用高强度ABS工程塑料,加厚壳体有效抗冲击,保障头部安全。帽体轻盈透气,内置可调...
10

网站栏目