使用电流互感器注意事项
时间:2023-03-09来源:佚名
|
(1)电流互感器的一次绕组的接线端子应和被测电路内的负载串接,电流表串接于二次绕组的接线端子上。
(2)应按被测电流的大小选择合适的变比,否则误差会增加。
(3)二次绕组绝对不允许开路,否则会由于铁心过度饱和磁化引起铁心发热,烧毁线圈。同时,磁路过度磁化,会使误差增大。且二次绕组开路时还将产生很高的感应电动势(高达几百伏),容易造成触电事故。因此,电流互感器的二次绕组端装有短路开关,以防止开路。
(4)二次绕组端必须接地。
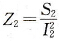
(5)二次绕组端的负载阻抗,不应超过规定值,以减少误差。通常在电流互感器的铭牌上已给出额定容量,则可由公式
求出二次侧的允许阻抗值。 例:电流互感器二次侧容量 。 |
求出二次侧的允许阻抗值。
。







