三相电压相序
时间:2023-03-09来源:佚名
|
三相电源的相序是以某相电量的相位超前排列在前面,而电量的相位滞后的相排列在后面,三相之间互差120度电角度,第二相滞后第一相120度电角度,最后的一相滞后第一相240度电角度。但是由于相差360度相当于同相位,因此最后的一相又相当于超前第一相120度电角度。因此任意将两条电源线对调,则相序变反,电机反转。若再对调两条电源线后再一次另外对调任意两条电源线则相序又变回原来的相序。也就是说RST为正转相序的话,TRS和STR都与RST一样为正转相序,另外的SRT、TSR和RTS三种都是反转相序。
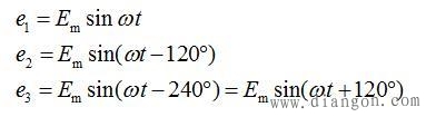
以第1相为参考,得出e的表达式:
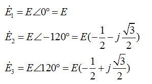
也可用相量表示:
注: 1)交流电出现正幅值的顺序称为相序。在此相序是1→2→3。 2)由此可见三相电动势的幅值相等,频率相同,彼此间的相位差也相等,这种电动势称为对称电动势。显然它们的瞬时值或相量之和为零。
|











