电压表间接法测量电源空载电压
时间:2023-03-09来源:佚名
|
在电子线路中,经常遇到电源内阻较大的电压的测量问题。如果用直接测量法,电压表的内阻以及电源的内阻压降都会给测量结果带来较大误差。为了能准确地测出被测电压,可采用图所示的间接测量法。具体测量步骤如下(图示电路中空载电压Ux和电源内阻R0都未知):
![]() 图 间接法测量电源空载电压
(a)步骤1;(b)步骤2
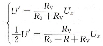
(1)按图(a)所示的电路,用一已知内阻(Rv)的电压表,测得电压U′的值。
(2)按图 (b)所示的电路,调节R的阻值,使电压表读数U″刚好是电压U′的1/2。可得
![]() 将U″=1/2U′代入上式U″中得
![]() 由此可列出方程组
![]() 从而解得 ![]() |











