三相变压器的铭牌
时间:2023-03-10来源:佚名
|
型号 S9−500 /10 S--三相;D--单相; F--风冷;500--额定容量(kVA) 10--高压绕组的额定电压(kV) ①额定电压
原绕组的额定电压
是指原绕组加上额定电压时副绕组的空载电压(U20)。在三相变压器铭牌上给出的额定电压 和 均为原、副绕组的线电压。
②额定电流
变压器的额定电流 是根据绝缘材料所允许的温度而规定的原、副绕组中允许长期通过的最大电流值。在三相变压器中, 和 均原、副绕组的线电流。
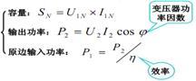
③额定容量SN 变压器的额定容量指它传送功率的最大能力,是额定视在功率,以伏安(VA)或千伏安(kVA)为单位。在单相变压器中, 强调: 容量 SN≠输出功率 P2 原边输入功率P1≠输出功率P2 理想情况下: |















