磁介质中的安培环路定理

时间:2023-03-10来源:佚名
磁介质中的安培环路定理(1)
磁介质中的安培环路定理(2)
将式(1)代入式(2)后,得
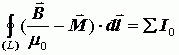
磁介质中的安培环路定理 (3)

这就是磁介质中的安培环路定理。在真空中,磁介质中的安培环路定理磁介质中的安培环路定理 代入上式可得式。 这说明,对于稳恒磁场,无论其中是否有磁介质,式都是普遍适用的。
由式(3)可以看出,磁场强度的单位应为A/m。另一种常用单位叫奥斯特(Oe),二者换算关系是
磁介质中的安培环路定理

相关阅读

100W逆变器电路图和工作原理讲解

不论是野外需求或是停电应急,逆变器都是一可缺少的应急装备。我们家里在忽然停电时,逆变器可将蓄电池里的直流电逆变为交流电供家用电器继续工作。电工在野外作业时,有了逆...
2023-06-20
100W逆变器电路图和工作原理讲解

插座装少后悔莫及?看看30年老电工总结的全屋插座布局

对于家庭来说,房子的地位毋庸置疑 对于房子来说,装修绝对是必不可少 对于装修来说,电路布线、开关插座 又是重中之重!!! 装修中,开关多、插座多、管线多 江湖人称:“电...
2023-06-11

差分放大电路图讲解 差分放大电路原理解析和计算公式

差分运算放大电路,对共模信号得到有效抑制,而只对差分信号进行放大,因而得到广泛的用。 差分电路的电路构型 图1 差分电路 目标处理电压:  是采集处理电压,比如在系统中像...
2023-08-16
差分放大电路图讲解 差分放大电路原理解析和计算公式

电气控制柜导线配线规格的选用

根据电磁学分析,载流导线中的电流密度分布规律为: 式中:Jo导体表面( x = 0) 处的电流密度;σ:电导率;μ:磁导率;x :导体内部距表面的深度。 从上式可知,载流导体的电流密度...
2023-03-21
电气控制柜导线配线规格的选用

三分钟阅读这篇电气识图的文章,学会你也可以算得上半个电气专家

本文主要涉及以下内容: 1、标准的电气制图 制图规范的说明和总结。 2、常见的电气图纸【不复杂但是实用】。 图形符号:组成、分类、应用 详见文章 新手学习——电气图基本知识...
2023-06-11
三分钟阅读这篇电气识图的文章,学会你也可以算得上半个电气专家

热销商品

加厚abs安全帽电工建筑工地程施工领导监理透气防砸头盔可印字V型

这款加厚ABS安全帽专为电工、建筑工地施工人员、领导及监理设计,采用高强度ABS工程塑料,抗冲击、防砸性能优异,有效保障头部安全。帽体加厚设计,增强耐用性与防护等级...
5.8

欧普led筒灯3w孔灯超薄桶灯吊顶天花灯过道嵌入式洞灯客厅5w

欧普LED筒灯是一款高品质嵌入式照明产品,适用于客厅、过道、吊顶等多种场景。采用优质LED光源,提供3W和5W两种功率选择,光线柔和均匀,显色指数高,有效还原真实色彩。超...
7.45

水口钳高硬度模型剪钳电子钳工业级口水剪斜嘴钳偏口斜口专用钳子

水口钳高硬度模型剪钳是一款工业级精密工具,专为电子、模型制作及精细作业设计。采用优质高碳钢材质,经热处理工艺打造,具备卓越的硬度和耐磨性,可轻松剪切金属引脚、...
4.8

170电子剪钳II 如意斜口钳 工业斜嘴钳水口钳 模型剪塑胶钳尖嘴钳

170电子剪钳II如意斜口钳是一款专业级精密工具,集工业斜嘴钳、水口钳、模型剪、塑胶钳与尖嘴钳功能于一体,适用于电子维修、模型制作、手工艺及精密作业。其采用优...
4.5

安全帽国标工地加厚施工领导透气安全头盔建筑工程监理免费印字

本款安全帽严格遵循国家GB 2811-2019标准,专为建筑工程、工地施工及监理人员设计。采用高强度ABS工程塑料,加厚壳体有效抗冲击,保障头部安全。帽体轻盈透气,内置可调...
10

网站栏目