电位
时间:2023-03-10来源:佚名
|
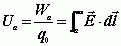
检验电荷
若选无限远处为参考点,则
电场中任一点的电位等于把单位正电荷从该点沿任意路径移动到无限远处时电场力所作的功。电场中任一点的电位也等于单位正电荷在该点的电位能。单位:伏特
|
|
检验电荷
若选无限远处为参考点,则
电场中任一点的电位等于把单位正电荷从该点沿任意路径移动到无限远处时电场力所作的功。电场中任一点的电位也等于单位正电荷在该点的电位能。单位:伏特
|





