电流和电源电动势
|
一、电流 电荷的定向移动形成电流。导体内部存在电场是导体中产生电流的条件。电磁学习惯上把正电荷的运动方向规定为电流方向。这样,导体中电流的方向总是沿着电场方向,从高电位处指向低电位处。 二、电流强度
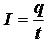
当
大小和方向都不随时间变化的电流称为稳恒电流,简称直流电。对于稳恒电流,有
在国际单位制中,规定电流为基本量,单位:安培(A)。在电子学及某些电磁测量中,由于安培太大,常用毫安( 三、电流密度矢量
通过导体任一曲面的电流强度为 即电流强度 四、电流的连续性方程
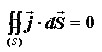
上式称作电流的连续性方程。它是电荷守恒定律的积分形式。 五、电流的稳恒条件 上式就是电流的稳恒条件。它表明,通过任一闭合面一侧流入的电量必然等于从另一侧流出的电量。因此稳恒电流的电流线不可能在任何地方中断,它们永远是合线。在稳恒电路中,通过一段导体各个截面的电流相等。 |
表示。设在
时间内,通过导体任一截面的电量是
,则
时,有


A )作为电流强度的单位。
。
通过该小面元的电流强度为
则该点的电流密度大小为
如果
的法线方向
与电流方向的夹角为
,则

是电流密度矢量
的通量,
的直观意义是:通过导体截面的电流线的根数。
和
, 在单位时间内从
流出的电量,即通过
向外流出的电流为
。根据电荷守恒定律,单位时间内从
向外流出的电量,应等于单位时间内
面内电量的减少。设在
时间内
面的电量变化为
,则
面内电量的减少为
。因此
不随时间变化的电流,即电流场的分布是不随时间变化的,这就要求电荷分布是稳恒的、不随时间变化的。或者说,对于任意的闭合面
,有






