安培定理
时间:2023-03-10来源:佚名
|
在磁场稳恒中,磁感应强度
由于
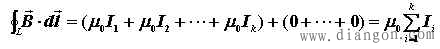
那么,
其中,电流的正负由闭合环路所选取的绕行方向决定。规定:当穿过环路的电流方向与环路的绕行方向符合右手螺旋关系时,电流取正值;反之为负。如果电流不穿过环路,则它不包括在上式右端的求和中。
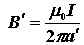
二、定理的证明 而线元大小
如果电流I 反向,则
2、闭合环路L不围绕电流
那么
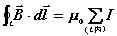
3、多根载流导线穿过闭合环路
|
|
在磁场稳恒中,磁感应强度
由于
那么,
其中,电流的正负由闭合环路所选取的绕行方向决定。规定:当穿过环路的电流方向与环路的绕行方向符合右手螺旋关系时,电流取正值;反之为负。如果电流不穿过环路,则它不包括在上式右端的求和中。
二、定理的证明 而线元大小
如果电流I 反向,则
2、闭合环路L不围绕电流
那么
3、多根载流导线穿过闭合环路
|








