磁介质的分类
|
各种磁介质的内部结构不完全相同, 按磁性可将介质分为三种。 我们先说明在没有外磁场作用时的情况。 |
2、有外磁场 当 |
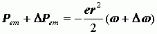
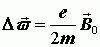
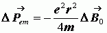
式中的负号表明, 与 反向。同理可证,当电子自身的磁矩 与 平行时,电子的附加磁矩 与的关系仍满足式(7-6)。所以说,电子的附加磁矩具有反抗外加磁场的性质。式(7-6)是从电子的轨道平面与外磁场的感应强度 互相垂直的特例中导出的,而在一般情况小,电子的轨道平面与 并不垂直。如图7-4所示,这时电子的附加磁矩 的方向 与仍然反向,式(7-6)虽然是通过特例导出,但它具有普遍的意义。下面,我们对三种磁介质在有外磁场的情况进行讨论。 (1)第一种磁介质,无外磁场时分子磁矩 ;在有外磁场时,一方面分子磁矩 沿 方向取向,另一方面附加分子磁矩 与 反向,由于 ,所以总磁矩不为零,总磁矩沿 的方向,介质被磁化了。也就是说,这种介质处于外磁场中时, 在宏观上显示了磁性并产生附加磁场,使介质所在空间的磁场增强。设附加磁场的磁感应强度为 ,则磁场强度为
我们将这种磁介质称为顺磁质。实际上,由于分子的热运动,分子磁矩的取向总不可能完全一致。一定的温度下, |
(相当于电介质中的有极分子),但各个分子磁矩的取向杂乱无章,沿各个方向都不占优势,因而所有分子磁矩的矢量和
(相当于电介质中的无极分子)因此所有分子磁矩的总和为


数量级到毫米
数量级范围内。
作用时
时,在每个电子磁矩
上要增加一个附加磁矩。我们取电子的轨道平面与外磁场的磁感应强度
互相垂直的特殊情况进行讨论。如图7-3所示,电子自身的磁矩
与平行反向。中外磁场由0增加到
与
反向,使电子在轨道上某点受到的感生电场力与电子在该点处的速度同向,因此电子被加速,其速度
从增大到
,角速度也相应地从
增大到
。在电子运动轨道不变的情况下,电子运动速度增大相当于电流环流增强,因而电子磁矩也要增大即由
增加到
。下面,对附加磁矩
与磁场
的关系作定量的分析。
,设轨道半径为
,则

时,运动电子受到的洛仑兹力为 
与
同向。这时电子运动的角速度变为
。假设轨道的半径
不变,则
(7-4)
不太大时
,
上式两边的第二项均可忽略,即可解得
(7-5)
时,电子运动的角速度增加了
,电子磁矩也有相应的增量
,按式(7-1),得

(7-6)
与
反向。同理可证,当电子自身的磁矩
与
平行时,电子的附加磁矩
与的关系仍满足式(7-6)。所以说,电子的附加磁矩具有反抗外加磁场的性质。
互相垂直的特例中导出的,而在一般情况小,电子的轨道平面与
并不垂直。如图7-4所示,这时电子的附加磁矩
的方向
与仍然反向,式(7-6)虽然是通过特例导出,但它具有普遍的意义。下面,我们对三种磁介质在有外磁场的情况进行讨论。
;在有外磁场时,一方面分子磁矩
沿
方向取向,另一方面附加分子磁矩
与
反向,由于
,所以总磁矩不为零,总磁矩沿
的方向,介质被磁化了。也就是说,这种介质处于外磁场中时, 在宏观上显示了磁性并产生附加磁场,使介质所在空间的磁场增强。设附加磁场的磁感应强度为
,则磁场强度为
或 
的取向按一定的统计规律分布。外磁场越强,温度越低,
的取向越整齐,磁性越强。撤去外磁场后磁性又消失。氧(
)、氧化氮(
)及顺磁性盐(某些碱性元素、碱土元素及稀土元素的盐)都是顺磁质。
;在有外磁场时,其分子磁矩仍为零,而附加分子磁矩
与
反向,因此总磁矩仍不为零,而附加分子磁矩
与
反向, 因此总磁矩也不为零,而且与
反向。这种磁介质在宏观上显示的附加磁场减弱了外磁场的作用,即
而 
的方向规则地排列,从而在空间上显示出很强的附加磁场。这个附加磁场显著地增强了介质所在空间的磁场,不仅有

),介质的磁化也很强。我们将这种磁介质称为铁磁质。铁(
)镍(Ni) 钴(
)三种元素, 以及这三种和其他元素的多种合金都是铁磁质。






