RC串联电路与RL串联电路

时间:2023-03-10来源:佚名

1、RC 串联电路
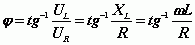
  以电流RC串联电路与RL串联电路为参考矢量,根据电阻、电容元件上的电压与电流的位相关系画出RC串联电路与RL串联电路串联电路的矢量图。由矢量图得总电压与各元件上分电压的有效值关系为

RC串联电路与RL串联电路

RC串联电路与RL串联电路RC串联电路与RL串联电路
因为
RC串联电路与RL串联电路RC串联电路与RL串联电路
则总电压与电流的有效值之间的关系为

 RC串联电路与RL串联电路

其中

RC串联电路与RL串联电路

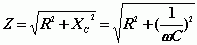
称为RC串联电路与RL串联电路串联电路的等效阻抗。那么,总电压与电流的位相关系为
RC串联电路与RL串联电路
它亦称阻抗角。
  由此可见,RC串联电路与RL串联电路串联电路的总电压与电流的位相差等于等效阻抗的阻抗角。由于RC串联电路与RL串联电路,表示电压的位相落后于电流,电路呈电容性。

2、RL 串联电路
  以电流RC串联电路与RL串联电路为参考矢量,根据电阻、电感元件上的电压与电流的位相关系画出RC串联电路与RL串联电路串联电路的矢量图。由矢量图得总电压与各元件上分电压的有效值关系为

RC串联电路与RL串联电路

RC串联电路与RL串联电路RC串联电路与RL串联电路
因为
RC串联电路与RL串联电路RC串联电路与RL串联电路
则总电压与电流的有效值之间的关系为
RC串联电路与RL串联电路
其中
RC串联电路与RL串联电路

称为RC串联电路与RL串联电路串联电路的等效阻抗。那么,总电压与电流的位相关系为
RC串联电路与RL串联电路
由此可见,RC串联电路与RL串联电路串联电路的总电压与电流的位相差等于等效阻抗的阻抗角。由于RC串联电路与RL串联电路,表示电压的位相超前于电流,电路呈电感性。

相关阅读

PLC编程技巧以及在电机控制中的具体应用,简单例子清楚告诉你!

PLC编程是使用频率很高的工业控制设备,其智能化,自动化的控制十分方便,对于PLC而言,有效的编程语言是PLC运行的核心; 其实PLC编程是有一定技巧的,熟练掌握这些技巧能让你学习PLC事...
2024-08-12
PLC编程技巧以及在电机控制中的具体应用,简单例子清楚告诉你!

电容10uf和0.1uf并联使用的技巧

在某些特定的电路中,采用双通道(大容量的小电容器)或者多通道(三个以上的小电容器,为了提高频率性能),在电容器的地端处(地线的宽度和宽度会导致频率特征),比如在...
2023-03-31
电容10uf和0.1uf并联使用的技巧

专家教你6个绝招——帮你快速解决漏电保护器跳闸问题

漏电保护器,简称漏电开关,又叫漏电断路器,主要是用来在设备发生漏电故障时以及对有致命危险的人身触电保护,具有过载和短路保护功能,可用来保护线路或电动机的过载和短路...
2023-06-11

电工必看|超详细电工口诀,计算一步到位

电工计算口诀,是根据用电设备的功率 ( 千瓦或千伏安 ) 算出电流 ( 安 ) 的口诀。 按功率计算电流的口诀 1. 用途: 这是根据用电设备的功率 ( 千瓦或千伏安 ) 算出电流 ( 安 ) 的口诀。...
2023-06-27
电工必看|超详细电工口诀,计算一步到位

基于FET的100W音频放大器电路图

该 100W 音频放大器设计采用两个 V-MOSFET 晶体管技术作为输出级,可在 4 Ω 负载下提供 100W 输出。重要的是,通过添加散热器或风扇等方式使输出级的晶体管保持凉爽。 对于这种高功率...
2023-08-09
基于FET的100W音频放大器电路图

热销商品

加厚abs安全帽电工建筑工地程施工领导监理透气防砸头盔可印字V型

这款加厚ABS安全帽专为电工、建筑工地施工人员、领导及监理设计,采用高强度ABS工程塑料,抗冲击、防砸性能优异,有效保障头部安全。帽体加厚设计,增强耐用性与防护等级...
5.8

欧普led筒灯3w孔灯超薄桶灯吊顶天花灯过道嵌入式洞灯客厅5w

欧普LED筒灯是一款高品质嵌入式照明产品,适用于客厅、过道、吊顶等多种场景。采用优质LED光源,提供3W和5W两种功率选择,光线柔和均匀,显色指数高,有效还原真实色彩。超...
7.45

水口钳高硬度模型剪钳电子钳工业级口水剪斜嘴钳偏口斜口专用钳子

水口钳高硬度模型剪钳是一款工业级精密工具,专为电子、模型制作及精细作业设计。采用优质高碳钢材质,经热处理工艺打造,具备卓越的硬度和耐磨性,可轻松剪切金属引脚、...
4.8

170电子剪钳II 如意斜口钳 工业斜嘴钳水口钳 模型剪塑胶钳尖嘴钳

170电子剪钳II如意斜口钳是一款专业级精密工具,集工业斜嘴钳、水口钳、模型剪、塑胶钳与尖嘴钳功能于一体,适用于电子维修、模型制作、手工艺及精密作业。其采用优...
4.5

安全帽国标工地加厚施工领导透气安全头盔建筑工程监理免费印字

本款安全帽严格遵循国家GB 2811-2019标准,专为建筑工程、工地施工及监理人员设计。采用高强度ABS工程塑料,加厚壳体有效抗冲击,保障头部安全。帽体轻盈透气,内置可调...
10

网站栏目