有关磁路计算的一些概念
时间:2023-03-10来源:佚名
1、磁路的长度在磁路计算中,磁路的长度一般都取其平均长度,即中心线长度。如图8-11所示:
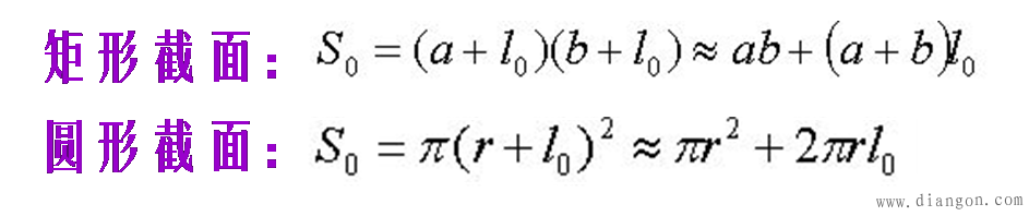
2、铁磁物质截面积磁路中铁磁物质部分的截面积用磁路的几何尺寸直接计算。 磁路中有空气隙时,气隙边缘的磁感应线将有向外扩张的趋势,称为边缘效应,如图8-12所示。 空气隙截面积S0 工程上一般认为,当气隙较小时候,可用下面两式计算气隙的有效面积:
若铁心是涂有绝缘漆的电工硅钢片叠成的,则:S=K*S0其中: S—有效面积; S0—视在面积; K—填充系数。 |












