磁路的欧姆定律_磁路欧姆定律公式_磁路欧姆定律的理解

时间:2023-03-10来源:佚名
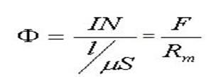
磁通势:F=IN

磁阻:

磁路的欧姆定律_磁路欧姆定律公式_磁路欧姆定律的理解

磁压降:

磁路的欧姆定律_磁路欧姆定律公式_磁路欧姆定律的理解


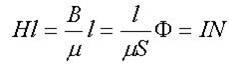
对于如图8-8的环形磁路,由全电流定律均可得到:

磁路的欧姆定律_磁路欧姆定律公式_磁路欧姆定律的理解

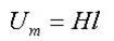
对于如图8-8的环形磁路,由全电流定律均可得到:HI=IN

磁路的欧姆定律_磁路欧姆定律公式_磁路欧姆定律的理解

因为:

磁路的欧姆定律_磁路欧姆定律公式_磁路欧姆定律的理解

则:

磁路的欧姆定律_磁路欧姆定律公式_磁路欧姆定律的理解


得:

磁路的欧姆定律_磁路欧姆定律公式_磁路欧姆定律的理解

由磁通势在磁路中产生的磁通量,其大小和磁通势成正比,和磁路的磁阻成反比,这就是磁路的欧姆定律。

相关阅读

无功补偿投切元件的选择

一、断路器 现在投切电容 使用的断路器大多数是真空开关。真空断路器 具有分合闸速度快的特点。随着灭弧性能及过电压耐受能力的不断提高,真空断路器开断电容时已能很好地防止...
2023-03-21

三菱PLC故障排除技巧

对于三菱plc 系统的故障排除遵循六大法则,一摸、二看、三闻、四听、五按迹寻踪法、六替换法。 一摸,用手感觉主机CPU的温度,CPU正常运行温度不超过60℃,因手能接受的温度为人体...
2023-03-21

补偿电容器的运行标准有哪些

有关补偿电容器的知识,在正常电压下运行时,补偿电容器可以发挥无功补偿的作用,补偿电容器的运行标准有哪些,电容器运行中过电流的原因是什么,下面与乃棠检测小编一起来了...
2023-03-31
补偿电容器的运行标准有哪些

关于家居综合布线那点事?

家居综合布线系统有何作用? 家居综合布线系统是指将电视、电话、计算机网络、多媒体影音中心、自动报警装置等设计进行集中控制的系统,即家庭中由这些线缆连接的设备都可由一...
2023-06-25
关于家居综合布线那点事?

电动机运行和修理的安全事项,详细介绍,建议收藏

电动机是工业、农业用电力机械最常用的动力之一,因此,电动机的安全运行和安全维修(此二者是相互关联的)是保证各种电动机械正常工作的基本条件。为保证电动机的安全运行应...
2023-06-13
电动机运行和修理的安全事项,详细介绍,建议收藏

热销商品

加厚abs安全帽电工建筑工地程施工领导监理透气防砸头盔可印字V型

这款加厚ABS安全帽专为电工、建筑工地施工人员、领导及监理设计,采用高强度ABS工程塑料,抗冲击、防砸性能优异,有效保障头部安全。帽体加厚设计,增强耐用性与防护等级...
5.8

欧普led筒灯3w孔灯超薄桶灯吊顶天花灯过道嵌入式洞灯客厅5w

欧普LED筒灯是一款高品质嵌入式照明产品,适用于客厅、过道、吊顶等多种场景。采用优质LED光源,提供3W和5W两种功率选择,光线柔和均匀,显色指数高,有效还原真实色彩。超...
7.45

水口钳高硬度模型剪钳电子钳工业级口水剪斜嘴钳偏口斜口专用钳子

水口钳高硬度模型剪钳是一款工业级精密工具,专为电子、模型制作及精细作业设计。采用优质高碳钢材质,经热处理工艺打造,具备卓越的硬度和耐磨性,可轻松剪切金属引脚、...
4.8

170电子剪钳II 如意斜口钳 工业斜嘴钳水口钳 模型剪塑胶钳尖嘴钳

170电子剪钳II如意斜口钳是一款专业级精密工具,集工业斜嘴钳、水口钳、模型剪、塑胶钳与尖嘴钳功能于一体,适用于电子维修、模型制作、手工艺及精密作业。其采用优...
4.5

安全帽国标工地加厚施工领导透气安全头盔建筑工程监理免费印字

本款安全帽严格遵循国家GB 2811-2019标准,专为建筑工程、工地施工及监理人员设计。采用高强度ABS工程塑料,加厚壳体有效抗冲击,保障头部安全。帽体轻盈透气,内置可调...
10

网站栏目