含源电路的欧姆定律
时间:2023-03-10来源:佚名
|
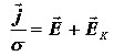
一、含源电路的欧姆定律 所谓一段含源电路是指这段电路中包含有电源。找出这段电路两端的电压与电源电动势、电阻和电流之间的关系,就是一段含源电路欧姆定律所要解决的问题。 ![]() 根据欧姆定律的微分形式 ![]() 得 ![]() 两边积分,得 积分,得 ![]() 所以
上式称为含源支路的欧姆定律。要注意电压符号下标的顺序,如 二、应用定律时的注意问题 |
|
一、含源电路的欧姆定律 所谓一段含源电路是指这段电路中包含有电源。找出这段电路两端的电压与电源电动势、电阻和电流之间的关系,就是一段含源电路欧姆定律所要解决的问题。 ![]() 根据欧姆定律的微分形式 ![]() 得 ![]() 两边积分,得 积分,得 ![]() 所以
上式称为含源支路的欧姆定律。要注意电压符号下标的顺序,如 二、应用定律时的注意问题 |






