二阶电路零输入响应求解

时间:2023-03-10来源:佚名

零输入响应的求解步骤特性

1. 列写所求变量的动态方程
2. 求二阶电路的固有频率---动态方程特征方程的根
3. 由固有频率判断零输入响应的形式
4. 找初始条件,确定响应中待定系数。

确定初始条件

求解二阶电路响应y(t)需要y(0 )和y'(0 ),y(0 )由初始时刻(t=0 )等效电路确定,y'(0 )要由uc'(0 ) 和iL'(0 ) 间接确定。
由元件VAR可知:
二阶电路零输入响应求解
而ic(0 )或 uL(0 )必须在t=0 的等效电路中求得,方法及概念与三要素法中初始值确定方法一致。

求解实例

图示电路,已知 u(0)=1V, i(0)=1A,求 t>0 时 u 和 i 。
二阶电路零输入响应求解
解:列微分方程
二阶电路零输入响应求解
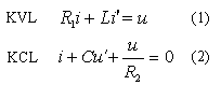
求 u 方程, 由 (2)
二阶电路零输入响应求解 带入(1)

二阶电路零输入响应求解
所以 二阶电路零输入响应求解
将(1)带入(2)可得
二阶电路零输入响应求解
特征根 s1,2 = 1±j
二阶电路零输入响应求解
二阶电路零输入响应求解
二阶电路零输入响应求解
将 u(0), u’(0), i(0), i’(0) 带入 u, u’ , i, i’得
二阶电路零输入响应求解
二阶电路零输入响应求解
求出令输入响应
二阶电路零输入响应求解

相关阅读

安全用电标语

1.节约能源度危机,共创经济新契机。 2.节约能源做得好,用水用电没烦恼。 3.节约能源做得好,省钱省能又环保。 4.全体人民一齐来,节约能源做环保。 5.发展台湾科技岛,节约能源...
2023-03-21

三菱FX系列PLC密码设置方式

plc 中设置密码可以限制编程工具、显示模块、人机界面 等对程序的读写、监控、更改当前值等操作,从而达到保护程序或是限制操作者对程序的监控等目的。 三菱FX系列PLC密码设置方...
2023-03-21

电流互感器变比的计算 TA变比和准确度的选择

在10kV配电设计的过程中,电流互感器变比的选择是很重要的。如果选择不当,就很有可能造成继电保护功能无法实现、动稳定校验不能通过等问题。 电流互感器的选择原则1、额定一次...
2024-08-21
电流互感器变比的计算 TA变比和准确度的选择

三相电压不稳定怎么解决?老师傅教你解决方法

定解决办法"/> 导致三相电压的不稳定,主要是用电负荷的增大,以及线路的原因(如线路过小、老化等)。所以电压不稳是跟大量用大功率设备有关系,但还有一些问题你没注意到,单...
2023-05-04
三相电压不稳定怎么解决?老师傅教你解决方法

真是人才,干了二十年电工,第一次见配电箱这样接线!

近日,小编在网络上看到一位老电工新接的配电箱,这个新接的配电箱在网络上引起了广泛的关注,有些们对这位老电工的技艺和创造力表示赞赏,然而,也有一些电工持不同看法,他们认为这位...
2024-08-12
真是人才,干了二十年电工,第一次见配电箱这样接线!

热销商品

加厚abs安全帽电工建筑工地程施工领导监理透气防砸头盔可印字V型

这款加厚ABS安全帽专为电工、建筑工地施工人员、领导及监理设计,采用高强度ABS工程塑料,抗冲击、防砸性能优异,有效保障头部安全。帽体加厚设计,增强耐用性与防护等级...
5.8

欧普led筒灯3w孔灯超薄桶灯吊顶天花灯过道嵌入式洞灯客厅5w

欧普LED筒灯是一款高品质嵌入式照明产品,适用于客厅、过道、吊顶等多种场景。采用优质LED光源,提供3W和5W两种功率选择,光线柔和均匀,显色指数高,有效还原真实色彩。超...
7.45

水口钳高硬度模型剪钳电子钳工业级口水剪斜嘴钳偏口斜口专用钳子

水口钳高硬度模型剪钳是一款工业级精密工具,专为电子、模型制作及精细作业设计。采用优质高碳钢材质,经热处理工艺打造,具备卓越的硬度和耐磨性,可轻松剪切金属引脚、...
4.8

170电子剪钳II 如意斜口钳 工业斜嘴钳水口钳 模型剪塑胶钳尖嘴钳

170电子剪钳II如意斜口钳是一款专业级精密工具,集工业斜嘴钳、水口钳、模型剪、塑胶钳与尖嘴钳功能于一体,适用于电子维修、模型制作、手工艺及精密作业。其采用优...
4.5

安全帽国标工地加厚施工领导透气安全头盔建筑工程监理免费印字

本款安全帽严格遵循国家GB 2811-2019标准,专为建筑工程、工地施工及监理人员设计。采用高强度ABS工程塑料,加厚壳体有效抗冲击,保障头部安全。帽体轻盈透气,内置可调...
10

网站栏目