常见的编码器有:二进制编码器、二—十进制编码器、优先编码器
|
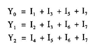
用数字或文字和符号来表示某一对象或信号的过程,称为编码。编码器是专门用于将输入的数字信号或 文字符号,按照一定规则编成若干位的二进制代码信号,以便于数字电路进行处理。常见的编码器有:二进制编码器、二—十进制编码器、优先编码器等。 二进制编码器 一位二进制代码有0和1,可以表示两个信号,两位二进制代码有00,01,10和11,可以表示4个信号, 屁位二进制代码有2n种,可以表示2n个信号。用而位二进制代码对N=2n个信号进行编码的电路称为二进制编码器。 现以3位二进制编码器为例来了解它的工作原理。输入是8个需要进行编码的信号I。I1,…,I7编成对 应的二进制代码输出,由于输人信号共有N=8个,根据N=2n=8可知,输出应该是n=3位的二进制代码, 用Y2,Y1,Y0表示。由于编码器在任何时刻,只能对一个输人信号进行编码,即不允许有两个和两个以上 输人信号同时存在的情况出现,真值表见表1,这个真值表也称为编码表。 由表1可写出输出函数Y0Y1Y2的表达式为
二—十进制编码器 二—十进制编码器是将十进制的10个数码0,1,2,…,9编成对应的二进制代码的电路,它的输人是0,1 ,2,…,9十个十进制数字,输出是对应的4位二进制代码,这9个二进制代码称为二—十进制代码,简称 BCD码。 4位二进制代码可以组成16种组合,而十进制编码器只需其中的10个组合,所以编码方式也很多,有8421 、5421、循环码、余三码等。常用的8421编码,就是在4位二进制代码的16种状态中取出前面10种状态, 表示0~9十个数码,后面6个状态去掉。如表2所示,二进制代码各位所代表的十进制数从高到低位依次为 8,4,2,1,称为“权”,而后把每个数码乘以各位的“权”,相加即得出该二进制代码所表示的一位十 进制数。 优先编码器74LS148 在数字系统中,常常要控制几个工作对象,如微型计算机主机要控制打印机、磁盘驱动器、输人键盘等 。当某个部件需要实行操作时,必须先送一个信号给主机,经主机识别后再发出允许操作信号,这里会有 几个部件同时发出服务请求的可能,而在同一时刻只能给其中工个部件发出允许操作信号,因此,必须根 据轻重缓急,规定好这些控制对象允许操作的先后次序,即优先级别。识别这类请求信号的优先级别并进行编码的逻辑部件称为优先编码器。 |







