三相负载的联结

时间:2023-03-10来源:佚名
由三相电源供电的负载叫三相负载(例如三相交流电动机)。三相电路中的三相负载,可分为对称三相负载和不对称三相负载。各相负载的大小和性质完全相同的叫对称三相负载,即

三相负载的联结
如三相电动机、三相变压器、三相电炉等。各相负载不等的就叫不对称三相负载,例如家用电器和电灯,这类负载通常是按照尽量平均分配的方式接入三相交流电源中。
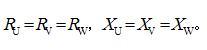
在三相电路中,负载有星形(用符号“Y”表示)和三角形(用符号“△”表示)两种联结方式。

    相关阅读

    PLC中常使用存储器类型

    根据存放信息的性质不同,在plc 中常使用以下类型的存储器: 1.只读存储器(ROM)。只读存储器中的内容由PLC制造厂家写入,并永久固化,PLC掉电后,ROM中内容不会丢失。用户只能读取,...
    2023-03-06

    电机震动如何测量?电机震动测量的方法步骤

    电机震动测量的方法步骤 电动机振动会加速电动机轴承 磨损,使轴承的正常使用寿命大大缩短,且在工作时会发出很大的噪声。 同时,电动机振动 将使绕组绝缘下降。电机的震动测试...
    2022-12-10
    电机震动如何测量?电机震动测量的方法步骤

    电梯检验中钢丝绳的绳头组合方式研究

    电梯 是我们生活中最常见的特种设备之一,它存在于我们现代社会的方方面面,与我们的日常生活息息相关。电梯作为八大类特种设备之一,具有特种设备所共有的涉及生命财产安全、...
    2023-03-08

    西门子PLC CPU里的暖启动,冷启动,热启动的区别?

    西门子plc CPU里的暖启动,冷启动,热启动,它们之间到底有什么本质的区别?在实际应用中又有何真正的用处呢? 答:冷启动(Cold restart):所有的数据(过程映象,位存储器、定时...
    2023-03-21

    三相异步电动机的铭牌数据

    本文介绍了三相异步电动机的铭牌数据,包括三相异步电动机的型号、接法、电压、电流与功率因数、额定转速等,了解清楚三相异步电动机的铭牌数据,才能选购到合适的电动机,下...
    2023-06-26
    三相异步电动机的铭牌数据

    热销商品

    加厚abs安全帽电工建筑工地程施工领导监理透气防砸头盔可印字V型

    这款加厚ABS安全帽专为电工、建筑工地施工人员、领导及监理设计,采用高强度ABS工程塑料,抗冲击、防砸性能优异,有效保障头部安全。帽体加厚设计,增强耐用性与防护等级...
    5.8

    水口钳高硬度模型剪钳电子钳工业级口水剪斜嘴钳偏口斜口专用钳子

    水口钳高硬度模型剪钳是一款工业级精密工具,专为电子、模型制作及精细作业设计。采用优质高碳钢材质,经热处理工艺打造,具备卓越的硬度和耐磨性,可轻松剪切金属引脚、...
    4.8

    170电子剪钳II 如意斜口钳 工业斜嘴钳水口钳 模型剪塑胶钳尖嘴钳

    170电子剪钳II如意斜口钳是一款专业级精密工具,集工业斜嘴钳、水口钳、模型剪、塑胶钳与尖嘴钳功能于一体,适用于电子维修、模型制作、手工艺及精密作业。其采用优...
    4.5

    安全帽国标工地加厚施工领导透气安全头盔建筑工程监理免费印字

    本款安全帽严格遵循国家GB 2811-2019标准,专为建筑工程、工地施工及监理人员设计。采用高强度ABS工程塑料,加厚壳体有效抗冲击,保障头部安全。帽体轻盈透气,内置可调...
    10

    包邮三角型简易螺丝刀三角十字螺丝刀螺丝批改锥起子五金工具5mm

    这款5mm三角型简易螺丝刀,专为拧紧或拆卸三角形螺丝设计,适用于电子维修、家电维护及精密仪器装配等场景。采用优质合金钢材质,刀头硬度高、耐磨损,确保长久使用不变...
    3.64

    网站栏目