一阶电路阶跃响应

时间:2023-03-10来源:佚名

阶跃响应

阶跃响应是零状态电路对单位阶跃信号的响应。


例:
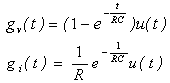
对RC串联电路激励电压为u(t)
在零状态下,求出v和i的阶跃响应分别为
一阶电路阶跃响应

一阶电路阶跃响应



一阶电路阶跃响应
一阶电路阶跃响应
阶跃响应的应用

对线性非时变电路,在零状态条件下,若电路对u(t)的响应为g(t),电路对u(t-t0)的响应为g(t-t0)。
若输入可以分解为延迟阶跃信号的和
一阶电路阶跃响应
则电路对x(t)的零状态响应为
一阶电路阶跃响应

利用阶跃响应分析电路实例

求us(t)作用RL电路时, iL的零状态响应。
一阶电路阶跃响应
解:此题可有两种分析方法。
方法一 (按两次换路分段求):
0≤t≤t0:为零状态响应
一阶电路阶跃响应
t>0:为零输入响应
一阶电路阶跃响应
一阶电路阶跃响应
方法二:利用阶跃响应。
一阶电路阶跃响应
一阶电路阶跃响应

    相关阅读

    时间继电器控制顺序启动、顺序停止电路图

    时间继电器控制顺序启动顺序停止电路 今天我们来了解一下,利用时间继电器控制顺序启动、顺序停止的电路。 首先,按下启动按钮SB2,接触器KM1、通电延时继电器KT1、断电延时时间...
    2023-08-24
    时间继电器控制顺序启动、顺序停止电路图

    鼠笼式三相异步电动机Y-△降压手动控制电路图分析

    鼠笼式三相异步电动机 Y-△降压手动控制电路原理图 凡正常运行时定子绕组接成三角形的是三相鼠笼式异步电动机 ,在启动时临时成星形,待电动机启动后接近额定转速时,在将定子...
    2023-03-21
    鼠笼式三相异步电动机Y-△降压手动控制电路图分析

    伺服电机和步进电机的比较

    学工控技术,拿10万年薪 马上注册,免费学习 超过100课时视频教程,免费下载海量学习资料 进电机作为一种开环控制的系统,和现代数字控制技术有着本质的联系。在目前国内的数字...
    2023-06-27

    收藏了!电工基础应用口诀

    学工控技术,拿10万年薪 马上注册,免费学习 超过100课时视频教程,免费下载海量学习资料 1、用充、放电法判断电容器的好坏 电容好坏粗判断,充放电法可承担。 电容两端接直流,...
    2023-06-27

    电厂那么多电动阀门,它的控制线路你清楚吗?

    电厂有手动阀门、调节阀门、气动阀门,电磁阀门,电动阀门(图1所示)等,今天一起来了解下电动阀门控制线路。 图1 电动阀门 电动阀门控制线路由以下3部分组成: 主线路、 控制...
    2023-07-05
    电厂那么多电动阀门,它的控制线路你清楚吗?

    热销商品

    加厚abs安全帽电工建筑工地程施工领导监理透气防砸头盔可印字V型

    这款加厚ABS安全帽专为电工、建筑工地施工人员、领导及监理设计,采用高强度ABS工程塑料,抗冲击、防砸性能优异,有效保障头部安全。帽体加厚设计,增强耐用性与防护等级...
    5.8

    水口钳高硬度模型剪钳电子钳工业级口水剪斜嘴钳偏口斜口专用钳子

    水口钳高硬度模型剪钳是一款工业级精密工具,专为电子、模型制作及精细作业设计。采用优质高碳钢材质,经热处理工艺打造,具备卓越的硬度和耐磨性,可轻松剪切金属引脚、...
    4.8

    170电子剪钳II 如意斜口钳 工业斜嘴钳水口钳 模型剪塑胶钳尖嘴钳

    170电子剪钳II如意斜口钳是一款专业级精密工具,集工业斜嘴钳、水口钳、模型剪、塑胶钳与尖嘴钳功能于一体,适用于电子维修、模型制作、手工艺及精密作业。其采用优...
    4.5

    安全帽国标工地加厚施工领导透气安全头盔建筑工程监理免费印字

    本款安全帽严格遵循国家GB 2811-2019标准,专为建筑工程、工地施工及监理人员设计。采用高强度ABS工程塑料,加厚壳体有效抗冲击,保障头部安全。帽体轻盈透气,内置可调...
    10

    包邮三角型简易螺丝刀三角十字螺丝刀螺丝批改锥起子五金工具5mm

    这款5mm三角型简易螺丝刀,专为拧紧或拆卸三角形螺丝设计,适用于电子维修、家电维护及精密仪器装配等场景。采用优质合金钢材质,刀头硬度高、耐磨损,确保长久使用不变...
    3.64

    网站栏目