在电路理论中,除了电压和电流这两个变量之外,还有两个与它们相联系的两个变量,在研究电路的性质时起很重要的作用,这就是电荷和磁通。
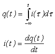
由物理学的知识可以知道,电荷是带电粒子带电多少和带电极性的表征量。电荷变量用符号q来表示,其基本单位是库仑(C)。在电路分析中,我们重视它与电流变量的关系,这个关系可以表示成微分或积分的形式。

电荷的一个重要性质是它的守恒性。简单地说,就是电荷既不能被创造,也不能被毁灭;电荷的转移必然形成电流。由上面的关系式还可以看出,在有限电流的情况下,电荷的分布不可能发生突变。这个性质对于动态电路的时域分析有重要意义。
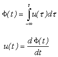
磁通用来表征磁场的分布情况。在物理学中,磁通定义为磁感应强度矢量通过某一非封闭曲面的面积分。磁通变量用符号φ表示,其基本单位是韦伯(Wb)。在电路理论中,用磁通来联系电现象和磁现象。由电磁学知识,我们知道磁通和电压之间有如下的关系。

磁通的一个重要性质是它的连续性,即穿过任一空间闭合曲面的磁通量之和等于零。此外,从上面磁通和电压的关系可以看出,在电压不是无限大时,磁通的分布决不能突变。我们在研究动态元件(电感元件)和动态电路的分析时将要用到这个性质。