RL串联电路的阻抗

时间:2023-03-10来源:佚名
阻抗:电阻和电感串联电路对交流电的阻碍。
下面对阻抗的公式进行推导

RL串联电路的阻抗
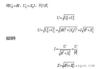
式中,U——电路总电压的有效值,单位为伏[特](V)
I——电路总电流的有效值,单位为安[培](A)
——电路的阻抗模,单位为欧[姆](W)
阻抗角:阻抗三角形中Z和R的夹角,与电压三角形中电压与电流的夹角j,阻抗三角形如下图所示。

RL串联电路的阻抗

相关阅读

看图认识接线端子的作用

大家好!每天学一点,学习更轻松。关注我,感谢大家为我点赞。 今天我们来学习液位控制回路,在排水泵系统中,我们常常会发现现场液位开关起到自动控制的关键作用。前几讲我都...
2023-04-05
看图认识接线端子的作用

一文看懂三相异步电动机接触器联锁的正反转控制原理

本文介绍了三相异步电动机接触器联锁的正反转控制的方法,三相异步电动机的正反转控制方式、三相异步电动机正反转控制的安全措施、接触器联锁的正反转控制线路的工作原理等知...
2023-06-26
一文看懂三相异步电动机接触器联锁的正反转控制原理

一文读懂小型断路器(微型断路器、小空开)与漏电开关的区别

小型断路器 /微型断路器/小空开 (英文名称:Miniature Circuit Breaker),电气行业简称为MCB,适用于交流50/60Hz额定电压230/400V,额定电流至63A线路的过载和短路保护之用,也可以在正常情况...
2023-06-11
一文读懂小型断路器(微型断路器、小空开)与漏电开关的区别

电缆穿墙板封堵新工艺,太方便了!

在电力与通信系统中,电缆穿墙板的封堵不仅关乎设备的安全运行,更是防止水浸、火灾及小动物侵扰的重要防线。传统防火堵料与隔板的应用虽广泛,但其密封效果的不可控性及后期维护...
2024-09-03
电缆穿墙板封堵新工艺,太方便了!

一分钟看完方可搞定电工接线中经常遇到的日光灯类电路接线

电灯开关接线是电工日常工作中遇到的最多、最常见的,以下是小编整理的各种关于日光灯类电路接线图。 这几种常用电灯接线,初学电工看了应该都会接。有了这篇文章基本所有简单...
2023-06-11
一分钟看完方可搞定电工接线中经常遇到的日光灯类电路接线

热销商品

加厚abs安全帽电工建筑工地程施工领导监理透气防砸头盔可印字V型

这款加厚ABS安全帽专为电工、建筑工地施工人员、领导及监理设计,采用高强度ABS工程塑料,抗冲击、防砸性能优异,有效保障头部安全。帽体加厚设计,增强耐用性与防护等级...
5.8

欧普led筒灯3w孔灯超薄桶灯吊顶天花灯过道嵌入式洞灯客厅5w

欧普LED筒灯是一款高品质嵌入式照明产品,适用于客厅、过道、吊顶等多种场景。采用优质LED光源,提供3W和5W两种功率选择,光线柔和均匀,显色指数高,有效还原真实色彩。超...
7.45

水口钳高硬度模型剪钳电子钳工业级口水剪斜嘴钳偏口斜口专用钳子

水口钳高硬度模型剪钳是一款工业级精密工具,专为电子、模型制作及精细作业设计。采用优质高碳钢材质,经热处理工艺打造,具备卓越的硬度和耐磨性,可轻松剪切金属引脚、...
4.8

170电子剪钳II 如意斜口钳 工业斜嘴钳水口钳 模型剪塑胶钳尖嘴钳

170电子剪钳II如意斜口钳是一款专业级精密工具,集工业斜嘴钳、水口钳、模型剪、塑胶钳与尖嘴钳功能于一体,适用于电子维修、模型制作、手工艺及精密作业。其采用优...
4.5

安全帽国标工地加厚施工领导透气安全头盔建筑工程监理免费印字

本款安全帽严格遵循国家GB 2811-2019标准,专为建筑工程、工地施工及监理人员设计。采用高强度ABS工程塑料,加厚壳体有效抗冲击,保障头部安全。帽体轻盈透气,内置可调...
10

网站栏目