磁感应强度叠加原理
时间:2023-03-10来源:佚名
|
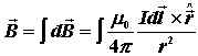
实验表明,磁场和电场一样也具有叠加的性质,描 述磁场性质的物理量磁感应强度 也遵从叠加原理。即任意载流导线在 点的磁感应强度 ,等于所有电流元在 点的磁感应强度 的矢量和。这就是磁感应强度叠加原理的内容。写成等式,得
毕—萨定律是在实验基础上经过科学抽象提出来的,它不能用实验直接验证。但是,由毕 —萨定律出发计算出的磁感应强度都与实验结果相符,从而间接地证明了定律的正确性。 |
|
实验表明,磁场和电场一样也具有叠加的性质,描 述磁场性质的物理量磁感应强度 也遵从叠加原理。即任意载流导线在 点的磁感应强度 ,等于所有电流元在 点的磁感应强度 的矢量和。这就是磁感应强度叠加原理的内容。写成等式,得
毕—萨定律是在实验基础上经过科学抽象提出来的,它不能用实验直接验证。但是,由毕 —萨定律出发计算出的磁感应强度都与实验结果相符,从而间接地证明了定律的正确性。 |









