高斯和安培定理的应用
时间:2023-03-10来源:佚名
|
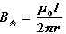
1、无限长载流圆柱导线内外的磁场 设圆柱形导体的半径为 ,通过的电流强度为 。由于电流分布具有轴对称性,因此磁感应强度 的分布也具有一定的对称性。 的方向沿环路 的切线方向,电流 方向成右手螺旋关系。⑴ 在圆柱体外任取一点 , 与轴线之间的距离为 (r>R)。以轴线上一点 为圆心、 为半径过 点作一闭合环路 ,绕行方向如图所示。由安培环路定理, 得
所以
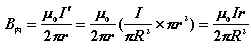
⑵ 在螺绕环外的空间作一圆形闭合环路 ,绕行方向如图所示。由安培环路定理,得并使它与螺绕环共轴,则穿过它的总电流为零,因而
|
,通过的电流强度为
。由于电流分布具有轴对称性,因此磁感应强度
的分布也具有一定的对称性。
的方向沿环路
的切线方向,电流
方向成右手螺旋关系。
,
与轴线之间的距离为
(r>R)。以轴线上一点
为圆心、
为半径过
点作一闭合环路
,绕行方向如图所示。由安培环路定理, 得


,
与轴线之间的距离为
(
)。以轴线上一点
为圆心、
为半径过
点作一闭合环路
,绕行方向如图所示。因为圆柱体内的电流只有一部分
通过环路
。由安培环路定理,得
,环路
所包围的横截面面积为
,那么
,单位长度上绕有
匝线圈。应用安培环路定理求得螺线管内外任一点的磁感应强度为

,线圈的总匝数为
,通有电流
,并且环上的线圈绕得很密。由电流的对称性可知,在与螺绕环共轴的圆周上,磁感应强度的大小相等,方向沿圆周的切线方向。
,以
为圆心、
为半径过
点作一闭合环路
,绕行方向如图所示。由安培环路定理,得

是螺绕环单位长度内的匝数。

的大小处处相等,方向遵从右手定则。如果螺绕环的半径趋于无穷大,而单位长度的匝数
和线圈的半径不变,则环内的磁场是均匀的。从物理实质上来说,这样的螺绕环就是无限长螺线管。这就证明了无限长螺线管内部磁场是均匀的,而外部磁场为零。







