感生电动势
时间:2023-03-10来源:佚名
|
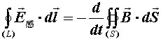
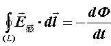
一、感生电动势 当一个相对静止的导体闭合回路处于随时间变化的磁场中时,穿过导体闭合回路的磁通量也会发生变化,导体中产生感应电动势,称为感生电动势。 二、感生电场 1、 麦克斯韦假设 相对静止的导体闭合回路因磁场变化能产生感生电动势,这说明回路中的电荷由于磁场的变化受到了某种力的作用。电荷受力的作用分为两种,一种是静电场所施的库仑力,另一种是施于运动电荷的洛仑兹力。然而,在产生感生电动势的过程中,即没有静电场也没有电荷的运动。因此,感应电动势的非静电力既不是静电场的静电力,也不是洛仑兹力,我们用以前学过的知识已无法解释感生电动势的微观机制。为了解释感生电动势非静电力的起源,英国科学家麦克斯韦提出一个假设:变化磁场在其周围空间会激发一种电场,这种电场称为感生电场或涡旋电场。这种电场不管空间有无导体或导体回路,不管是介质还是真空它都存在。这种感生电场对导体中电荷的作用力就是构成感应电动势的非静电力。麦克斯韦的这一假设已被许多实验所证实。 2、感生电场的性质 电场从起源上分为两种:一种是由电荷激发的静电场(库仑电场),用 表示;另一种是由变化磁场激发的感生电场,用 表示。这两种电场有一个共同的特点,即对处于电场中的电荷有作用力。但感生电场的电场力不同于库仑电场的电场力,它是一种非静电力。如果在感生电场中放入导体,则导体中的电子在感生电场力的作用下将发生定向运动,在导体中形成电动势;如果导体构成闭合回路,就产生感应电流。因此,感生电动势的非静电力就是感生电场力,它是形成感生电动势的起因和本质。 根据定义,感生电动势 等于感生电场 沿某一闭合曲线 的线积分,即
感生电场 一般情况下,空间可能既存在电荷,又存在变化的磁场,因而它们激发的两种电场也就可能同时存在。这时空间总的电场 所以,这是电磁学的基本方程之一。 |
表示;另一种是由变化磁场激发的感生电场,用
表示。这两种电场有一个共同的特点,即对处于电场中的电荷有作用力。但感生电场的电场力不同于库仑电场的电场力,它是一种非静电力。如果在感生电场中放入导体,则导体中的电子在感生电场力的作用下将发生定向运动,在导体中形成电动势;如果导体构成闭合回路,就产生感应电流。因此,感生电动势的非静电力就是感生电场力,它是形成感生电动势的起因和本质。
等于感生电场
沿某一闭合曲线
的线积分,即

是穿过闭合曲线
所包围曲面
上的磁通量,即
和
静止不动,故上式右边对曲面的积分和对时间的积分次序可以互换,因而有
沿
的积分方向就是感生电动势是正方向,它与回路法线矢量
构成右手螺旋关系。
就是这两种电场的叠加,即









