负反馈对通频带的影响
时间:2023-03-10来源:佚名
|
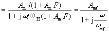
放大电路加入负反馈后,增益下降,但通频带却加宽了,见图1。
![]() 有反馈时 ![]() ![]() 有反馈时的通频带 DfF = (1 +AmF )fH 负反馈放大电路扩展通频带有一个重要的特性,即增益与通频带之积为常数 |
|
放大电路加入负反馈后,增益下降,但通频带却加宽了,见图1。
![]() 有反馈时 ![]() ![]() 有反馈时的通频带 DfF = (1 +AmF )fH 负反馈放大电路扩展通频带有一个重要的特性,即增益与通频带之积为常数 |







